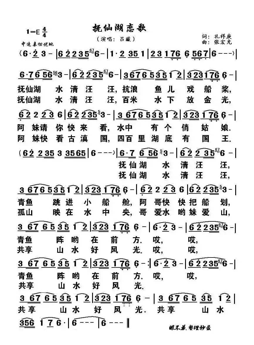
名称:抚仙湖恋歌
艺术家:吕继宏 吕薇
国家:中国
作词:孔祥庚
作曲:张宏光
演唱:吕继宏 吕薇
分类:歌谱
子类:民歌谱
类型:简谱
文件格式:jpg
谱友抄谱

《抚仙湖恋歌》文本歌词
抚仙湖水 清汪汪
抗浪鱼儿 戏船浆
阿妹请你 快来看
水中有个 俏姑娘
抚仙湖水 清汪汪
青鱼跳进 小船舱
阿哥快快 把船划
青鱼阵哟 在前方
哎~ 哎哎~ 哎哎哎~
青鱼阵哟 在前方
抚仙湖水 清汪汪
百米水下 放金光
阿妹快看 古滇国
四百里湖底 有国王
§§§§ §§
抚仙湖水 清汪汪
孤山映在水中央
哥爱水哟 妹爱山
共享山水 好风光
哎~ 哎哎~ 哎哎哎~
共享山水 好风光
哎~ 哎哎~ 哎哎哎~
共享山水 好风光
共享山水 好风光












