
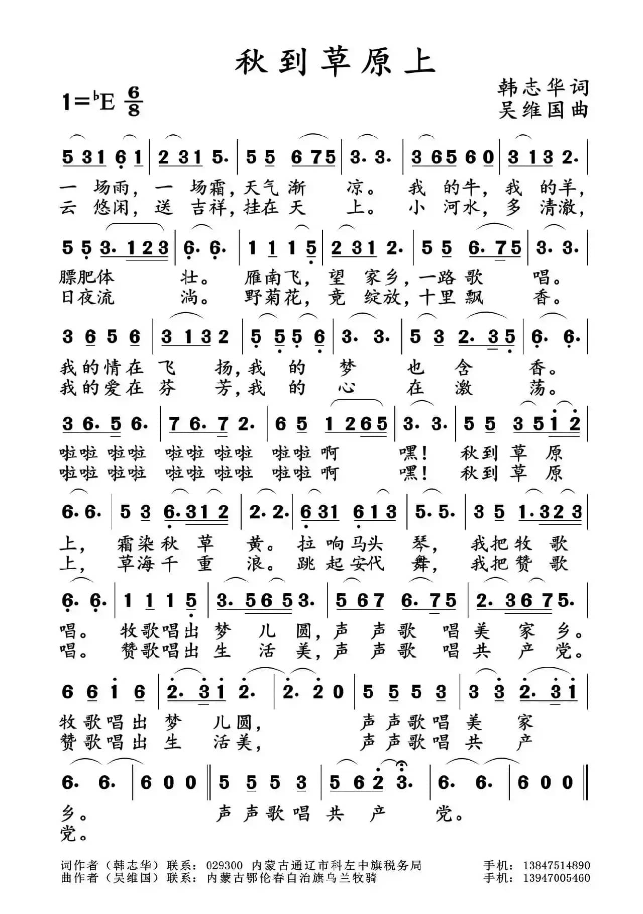
秋到草原上_民歌简谱_词曲:韩志华 吴维国简谱歌词是曲谱查询网于2022年11月01日 14:54:57更新在民歌曲谱频道中的内容,收录在民歌曲谱栏目中;曲谱查询网分享的秋到草原上_民歌简谱_词曲:韩志华 吴维国简谱五线谱高清图片,欢迎在线免费下载;曲谱查询网无需注册,即可直接下载海量歌曲谱与乐器学习相关资料。
曲谱查询网收录古今中外海量歌曲谱,如歌曲简谱、乐曲五线谱、PDF乐谱、戏曲谱、器乐相关资源下载等,欢迎查阅!

秋到草原上_民歌简谱_词曲:韩志华 吴维国简谱歌词是曲谱查询网于2022年11月01日 14:54:57更新在民歌曲谱频道中的内容,收录在民歌曲谱栏目中;曲谱查询网分享的秋到草原上_民歌简谱_词曲:韩志华 吴维国简谱五线谱高清图片,欢迎在线免费下载;曲谱查询网无需注册,即可直接下载海量歌曲谱与乐器学习相关资料。
本文分享民歌谱 天池湖旁边的小山庄(四川省华蓥市天池镇伍家坳村村歌),由王富强 王富强 词/曲,天天 演唱,桂圆 编辑整理…《天池湖旁边的小山庄》(王富强词曲)是四川广安华蓥市天池镇伍家坳村村歌。《天池湖旁边的小山庄》是四川省第一首村歌。《天池湖旁边的小山庄》是曾在天池湖旁边工作、生活过四年的王富强...
456 天池湖旁边的小山庄 王富强 王富强天天本文分享民歌谱 水之歌(龚尚惠 徐传家词 刘书先曲),由龚尚惠 徐传家 刘书先 词/曲,陈欣 贺庆 演唱,冬枣 编辑整理…...
173 水之歌 刘书先本文分享民歌谱 汨罗涤尘,由蒋燕 蒋燕 词/曲, 演唱,乐乐 编辑整理…《汨罗涤尘》文本歌词 世既蒙尘兮,世独有洁人? 吾生于世兮,不能洁其身。 避之左右兮,上下来纷纷。 徒任糟粕兮,日夕侵吾心。 扰吾性灵兮,乱吾魄与魂。...
1277 汨罗涤尘 蒋燕本文分享民歌谱 樟树下的母亲,由邹莉莎 渚沙 词/曲, 演唱,荣荣 编辑整理…《樟树下的母亲》文本歌词樟树下的母亲樟树像一片云云朵围绕着一位母亲母亲满面笑容轻唤孩儿乳名别摔了别摔了蹒跚学步的孩儿乐不可支地扑向娘亲樟树像一把伞伞下站着一位母亲母亲眯眼细细搜寻搜寻路上来往行人别躲了别躲了你就是躲在人堆里...
1226 樟树下的母亲 邹莉莎 渚沙本文分享民歌谱 蒸蒸日上—北京日上工贸有限公司司歌,由黄健雄 张朱论 词/曲, 演唱,旗旗 编辑整理…...
1670 蒸蒸日上—北京日上工贸有限公司司歌 黄健雄 张朱论| 留言与评论(共有 0 条评论) |
