
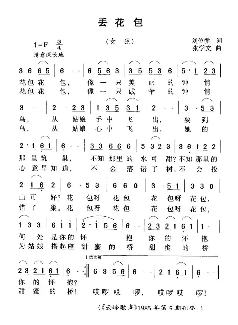
丢花包_民歌简谱_词曲:刘位循 张学文简谱歌词是曲谱查询网于2022年11月02日 10:50:29更新在民歌曲谱频道中的内容,收录在民歌曲谱栏目中;曲谱查询网分享的丢花包_民歌简谱_词曲:刘位循 张学文简谱五线谱高清图片,欢迎在线免费下载;曲谱查询网无需注册,即可直接下载海量歌曲谱与乐器学习相关资料。
曲谱查询网收录古今中外海量歌曲谱,如歌曲简谱、乐曲五线谱、PDF乐谱、戏曲谱、器乐相关资源下载等,欢迎查阅!

丢花包_民歌简谱_词曲:刘位循 张学文简谱歌词是曲谱查询网于2022年11月02日 10:50:29更新在民歌曲谱频道中的内容,收录在民歌曲谱栏目中;曲谱查询网分享的丢花包_民歌简谱_词曲:刘位循 张学文简谱五线谱高清图片,欢迎在线免费下载;曲谱查询网无需注册,即可直接下载海量歌曲谱与乐器学习相关资料。
本文分享民歌谱 相约在河边上,由黄景南 胡新连 许森林 词/曲,罗锡贵 演唱,玉虎 编辑整理…《相约在河边上》文本歌词《相约在河边上》作词:黄景南 胡新连作曲:许森林编曲:周啊想演唱:罗锡贵河边上吹来阵阵的清风拂着缕缕缕缕的芳香河边上有一位美丽的姑娘默默地凝望远方凝望远方呀啦索 呀啦索呀啦索 呀啦索...
326 相约在河边上 许森林罗锡贵本文分享民歌谱 你永远活在人民心里(纪念邓小平百年诞辰),由尹才干 寇升德 词/曲, 演唱,粒粒 编辑整理…...
1981 你永远活在人民心里 尹才干 寇升德本文分享民歌谱 我心中的草原(李兴文词 聂俊峰曲),由李兴文 聂俊峰 词/曲, 演唱,幸福 编辑整理…致谢:衷心感谢作者老师馈赠原谱!歌曲试听:http://yc.5sing.com/360639.html歌词:《我心中的草原》词:李兴文 曲:聂俊峰我的梦在蓝天我的情在眼前白云是...
292 我心中的草原 李兴文 聂俊峰本文分享民歌谱 歌唱朱德委员长(艺术片《十月的胜利》选曲),由刘薇 王引龙 词/曲, 演唱,韩韩 编辑整理…...
1182 歌唱朱德委员长 刘薇 王引龙本文分享民歌谱 警嫂的心里话(赵铁民词 刘丹曲),由赵铁民 刘丹 词/曲, 演唱,阿华 编辑整理…《警嫂的心里话》文本歌词警嫂的心里话赵铁民自从我嫁给了你,才知道当警察不容易。不知啥时执勤出警,睡觉都不能关手机。不指望你做家务,年节又有几次休息。多少抱怨多少委屈,也曾对你发脾气。可当...
468 警嫂的心里话 赵铁民 刘丹| 留言与评论(共有 0 条评论) |
