
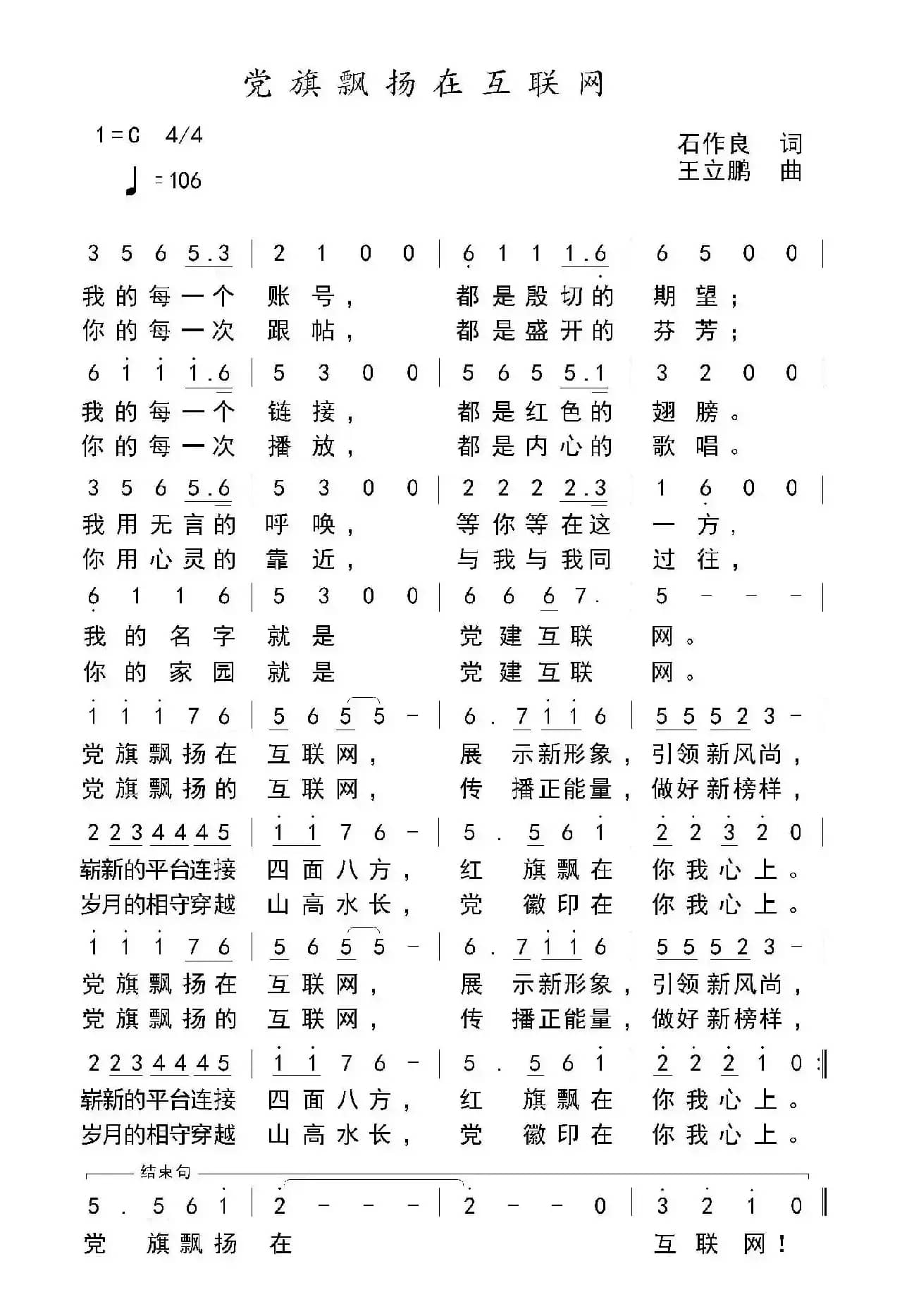
党旗飘扬在互联网_民歌简谱_词曲:石作良 王立鹏简谱歌词是曲谱查询网于2022年11月02日 12:05:59更新在民歌曲谱频道中的内容,收录在民歌曲谱栏目中;曲谱查询网分享的党旗飘扬在互联网_民歌简谱_词曲:石作良 王立鹏简谱五线谱高清图片,欢迎在线免费下载;曲谱查询网无需注册,即可直接下载海量歌曲谱与乐器学习相关资料。
曲谱查询网收录古今中外海量歌曲谱,如歌曲简谱、乐曲五线谱、PDF乐谱、戏曲谱、器乐相关资源下载等,欢迎查阅!

党旗飘扬在互联网_民歌简谱_词曲:石作良 王立鹏简谱歌词是曲谱查询网于2022年11月02日 12:05:59更新在民歌曲谱频道中的内容,收录在民歌曲谱栏目中;曲谱查询网分享的党旗飘扬在互联网_民歌简谱_词曲:石作良 王立鹏简谱五线谱高清图片,欢迎在线免费下载;曲谱查询网无需注册,即可直接下载海量歌曲谱与乐器学习相关资料。
本文分享民歌谱 故乡的老榕树(徐贞明词 黎荣军曲),由徐贞明 黎荣军 词/曲, 演唱,尤尤 编辑整理…歌曲旋律在:http://5sing.kugou.com/yc/2757272.html《故乡的老榕树》文本歌词家门口的那棵老榕树胡须比岁月还绵长爷爷的爷爷栽下了它爷爷常在树下乘荫凉老榕树啊老榕树...
1114 故乡的老榕树 徐贞明 黎荣军本文分享民歌谱 山林里的雾(电视剧《山林里的雾》主题歌),由张之涛 汪淑芳 词/曲, 演唱,john 编辑整理…...
1288 山林里的雾 张之涛 汪淑芳本文分享民歌谱 梦中老家,由琰川 刘北休 词/曲,吴建军 演唱,彤彤 编辑整理…《梦中老家》文本歌词梦中老家作词:琰 川作曲:刘北休演唱:吴建军老家是我眼中灿烂的萱草花,老家是我衣上的线疙瘩。梦起温暖老家,晃见霜染白发的妈妈。拉着我的手,摸着我的颊。声声唤乳名,说着悄悄话。梦中泪雨洒,思念远行的妈妈...
175 梦中老家 琰川 刘北休吴建军 刘北休本文分享民歌谱 田光歌曲选-420香格里拉,由黄筱平 田光 词/曲, 演唱,北极熊 编辑整理…《田光歌曲选-420香格里拉》文本歌词田光歌曲选-420香格里拉(少儿)黄筱平 词田光 曲...
705 田光歌曲选-420香格里拉 黄筱平 田光本文分享民歌谱 明月几时有(苏轼词 郝全钢曲),由苏轼 郝全钢 词/曲,郝全钢 演唱,朝旭 编辑整理…先贤作苏东坡《明月几时有》之曲,成后辈导师,敬佩之余,犹觉其音乐形象似有偏颇,故试曲而歌之,另求所趣。MP3试听:http://5sing.kugou.com/23006723《明月几时有》文本歌词...
741 明月几时有 苏轼 郝全钢郝全钢本文分享民歌谱 九寨春雪,由樊银品 张联通 词/曲, 演唱,大勇 编辑整理…试听地址:http://yc.5sing.com/841969.html...
1041 九寨春雪 樊银品 张联通本文分享民歌谱 整装待发(赵明词 桑楠曲),由赵明 桑楠 词/曲, 演唱,乐乐 编辑整理…《整装待发》文本歌词整装待发作词:赵明 作曲:桑楠战机升空,战舰踏浪,三军将士整装待发。导弹昂首,网络布阵,三军将士整装待发。啊,祖国请你放心吧,英雄儿女整装待发。啊,祖国请你放心吧,我们只等一声令下。听党指...
1946 整装待发 赵明 桑楠| 留言与评论(共有 0 条评论) |
