
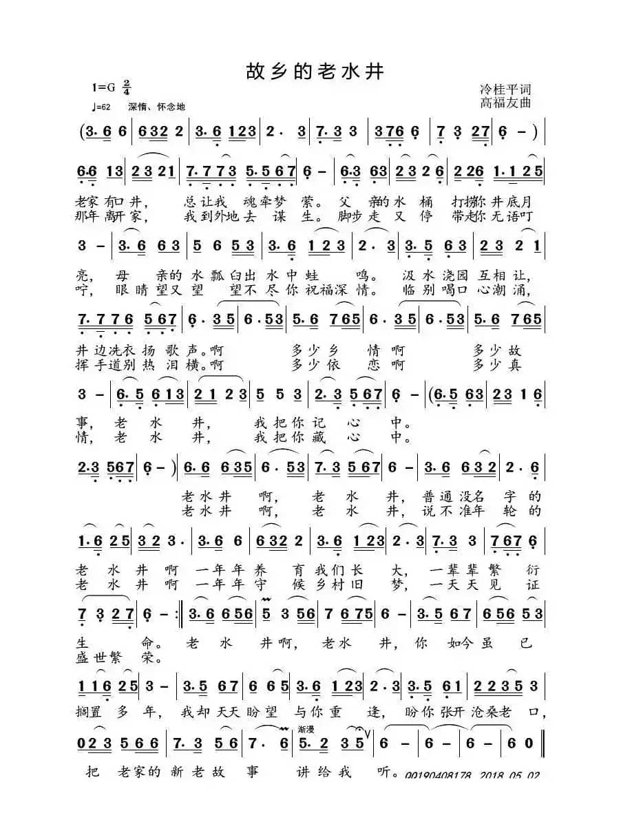
故乡的老水井_民歌简谱_词曲:冷桂平 高福友简谱歌词是曲谱查询网于2022年11月04日 17:06:35更新在民歌曲谱频道中的内容,收录在民歌曲谱栏目中;曲谱查询网分享的故乡的老水井_民歌简谱_词曲:冷桂平 高福友简谱五线谱高清图片,欢迎在线免费下载;曲谱查询网无需注册,即可直接下载海量歌曲谱与乐器学习相关资料。
曲谱查询网收录古今中外海量歌曲谱,如歌曲简谱、乐曲五线谱、PDF乐谱、戏曲谱、器乐相关资源下载等,欢迎查阅!

故乡的老水井_民歌简谱_词曲:冷桂平 高福友简谱歌词是曲谱查询网于2022年11月04日 17:06:35更新在民歌曲谱频道中的内容,收录在民歌曲谱栏目中;曲谱查询网分享的故乡的老水井_民歌简谱_词曲:冷桂平 高福友简谱五线谱高清图片,欢迎在线免费下载;曲谱查询网无需注册,即可直接下载海量歌曲谱与乐器学习相关资料。
本文分享民歌谱 田野的邀请,由郝春晖 刘亦敏 词/曲, 演唱,诸儿 编辑整理…《田野的邀请》文本歌词田野的邀请词:郝春晖曲:刘亦敏编曲:张宏光演唱:依泓远 沈莉 伏彬花朵正想睁开美丽的眼睛春风便送来田野的邀请村庄走出了甜甜的梦境返青的土地开始秀美婷婷秋霜冻不伤火火的收成冬雪压不灭红红的...
6 田野的邀请 郝春晖 刘亦敏本文分享民歌谱 开开心心过大年,由刘丽君 小河 词/曲, 演唱,常安 编辑整理…歌曲试听:http://yc.5sing.com/963883.html歌词:《开开心心过大年》 作词:刘丽君 作曲:小河(澳籍)编曲:晨晖音乐制作演唱:国 巍(一) 把日常的琐事放一边 把手头的忙碌缓一缓...
841 开开心心过大年 刘丽君 小河本文分享民歌谱 老老乡,由王持久 孙洪斌 词/曲,陈鹭虹 演唱,小枇杷 编辑整理…《老老乡》文本歌词老老乡词:王持久曲:孙洪斌你是我的老老乡我是你的小老乡你一口川味的乡音里少不了麻辣烫老老乡 你读书留过洋老老乡 你率军打过仗枪声炮声风雷声你当作听戏听曲听高腔摆起你的龙门阵小老乡我热泪盈眶讲起你的故事...
477 老老乡 王持久 孙洪斌陈鹭虹本文分享民歌谱 田光歌曲选-50啊!水仙,由李如会 田光 词/曲, 演唱,洋洋 编辑整理…《田光歌曲选-50啊!水仙》文本歌词田光歌曲选-50啊!水仙李如会 词田光 曲...
72 田光歌曲选-50啊!水仙 李如会 田光| 留言与评论(共有 0 条评论) |
