
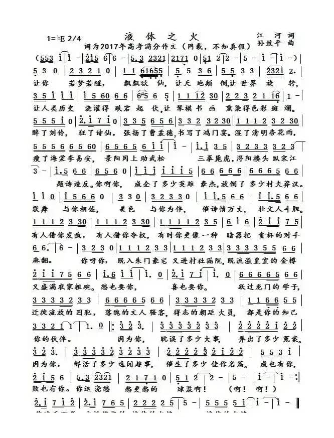
液体之火_民歌简谱_词曲:江河 孙致平简谱歌词是曲谱查询网于2022年11月11日 16:39:00更新在民歌曲谱频道中的内容,收录在民歌曲谱栏目中;曲谱查询网分享的液体之火_民歌简谱_词曲:江河 孙致平简谱五线谱高清图片,欢迎在线免费下载;曲谱查询网无需注册,即可直接下载海量歌曲谱与乐器学习相关资料。
曲谱查询网收录古今中外海量歌曲谱,如歌曲简谱、乐曲五线谱、PDF乐谱、戏曲谱、器乐相关资源下载等,欢迎查阅!

液体之火_民歌简谱_词曲:江河 孙致平简谱歌词是曲谱查询网于2022年11月11日 16:39:00更新在民歌曲谱频道中的内容,收录在民歌曲谱栏目中;曲谱查询网分享的液体之火_民歌简谱_词曲:江河 孙致平简谱五线谱高清图片,欢迎在线免费下载;曲谱查询网无需注册,即可直接下载海量歌曲谱与乐器学习相关资料。
本文分享民歌谱 嫩江如歌,由李一泉 刘北休 词/曲, 演唱,龙儿 编辑整理…《嫩江如歌》文本歌词嫩江如歌李一泉词刘北休曲一条江是一首歌,岁月流失歌唱着;你把生命播大地,哺育大地永执着。嫩江啊,嫩江,你是一条母亲的河;情暖松嫩爱鹤城,你给我们带来生活。一条江是一首歌,沧桑岁月多传说;你把情爱传人间,传...
492 嫩江如歌 李一泉 刘北休本文分享民歌谱 我是鸣沙山,你是月牙泉(欧阳倩词 周佳荣曲),由欧阳倩 周佳荣 词/曲, 演唱,铮铮 编辑整理…...
1339 我是鸣沙山 你是月牙泉 欧阳倩 周佳荣本文分享民歌谱 拉萨姑娘(黄枰词 胡润华曲),由黄枰 胡润华 词/曲,思雨 演唱,旖旖 编辑整理…试听地址:http://yc.5sing.com/362696.html伴奏地址:http://yc.5sing.com/289662.html...
1903 拉萨姑娘 黄枰 胡润华思雨| 留言与评论(共有 0 条评论) |
