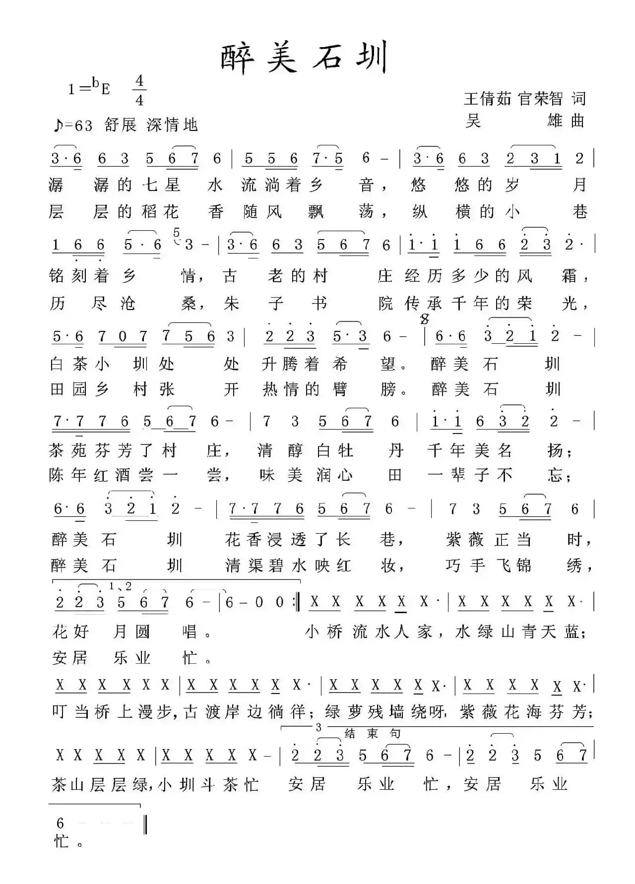
名称:醉美石圳
艺术家:李庆芳
国家:中国
作词:王倩茹 官荣智
作曲:吴雄
演唱:李庆芳
分类:歌谱
子类:民歌谱
类型:简谱
文件格式:jpg
李庆芳:国家一级演员、青年歌唱家、山东省潍坊市歌舞剧院民歌独唱演员。
MP3试听:http://5sing.kugou.com/yc/3109708.html

《醉美石圳》文本歌词
醉美石圳
朗诵:
小桥流水人家,水绿山青天蓝;
叮铛桥上漫步,古渡岸边徜徉,
绿萝残墙绕呀,紫薇花海芬芳;
茶山层层绿,小圳斗茶忙。
潺潺的七溪水流淌着乡音,
悠悠的岁月铭刻着乡情。
古老的村庄经历多少的风霜,
白茶小圳处处升腾着希望。
醉美石圳茶苑芬芳了村庄,
清醇白牡丹千年美名扬;
醉美石圳花香浸透了长巷,
紫薇正当时花好月圆唱。
层层的稻花香随风飘荡,
纵横的小巷历尽沧桑。
朱子书院传承千年的荣光,
田园乡村张开热情的臂膀。
醉美石圳陈年红酒尝一尝,
味美润心田一辈子不忘;
醉美石圳清渠碧水映红妆,
巧手飞锦绣安居乐业忙。











