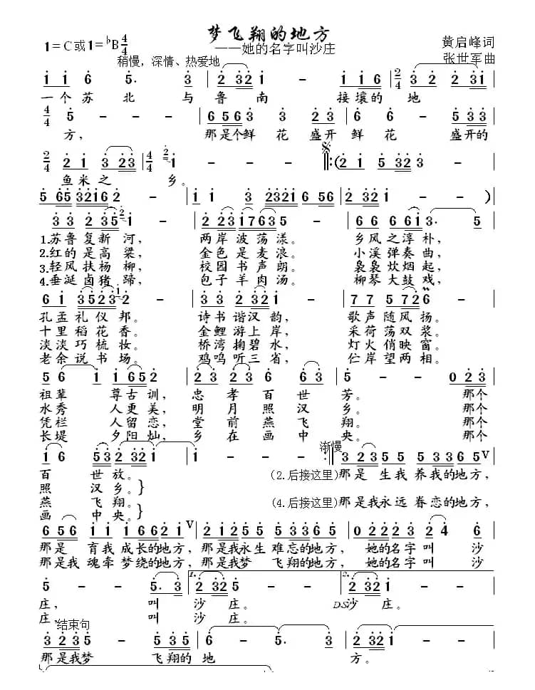
她的名字叫沙庄

梦飞翔的地方_民歌简谱_词曲:黄启峰 张世军简谱歌词是曲谱查询网于2022年11月14日 16:50:03更新在民歌曲谱频道中的内容,收录在民歌曲谱栏目中;曲谱查询网分享的梦飞翔的地方_民歌简谱_词曲:黄启峰 张世军简谱五线谱高清图片,欢迎在线免费下载;曲谱查询网无需注册,即可直接下载海量歌曲谱与乐器学习相关资料。
曲谱查询网收录古今中外海量歌曲谱,如歌曲简谱、乐曲五线谱、PDF乐谱、戏曲谱、器乐相关资源下载等,欢迎查阅!
她的名字叫沙庄

梦飞翔的地方_民歌简谱_词曲:黄启峰 张世军简谱歌词是曲谱查询网于2022年11月14日 16:50:03更新在民歌曲谱频道中的内容,收录在民歌曲谱栏目中;曲谱查询网分享的梦飞翔的地方_民歌简谱_词曲:黄启峰 张世军简谱五线谱高清图片,欢迎在线免费下载;曲谱查询网无需注册,即可直接下载海量歌曲谱与乐器学习相关资料。
本文分享民歌谱 背负夕阳永不休,由张昌达 珊卡 词/曲, 演唱,太阳 编辑整理…致谢:《曲谱查询网》衷心感谢作者老师馈赠原版歌谱!《背负夕阳永不休》文本歌词258.背负夕阳永不休张昌达 词珊卡 曲...
1386 背负夕阳永不休 张昌达 珊卡本文分享民歌谱 又见到你,由萧钧 胡旭东 词/曲,郁可唯 演唱,云云 编辑整理…《又见到你》文本歌词又见到你萧 钧词 胡旭东曲 郁可唯唱那年的一场大水,知道了你是谁,洪灾又一次来临,更懂得你是为了谁。又见到了你,还是十八九的年岁,一样的迷彩和那绿帽徽。饿了你就咬口馍,渴了你就喝口水,冷...
1291 又见到你 萧钧 胡旭东郁可唯本文分享民歌谱 有梦相随,由陈红志 石玉泉 词/曲, 演唱,瑞强 编辑整理…致谢:《曲谱查询网》衷心感谢作者老师馈赠原版歌谱!《有梦相随》文本歌词120.有梦相随陈红志 词石玉泉 曲...
1227 有梦相随 陈红志 石玉泉本文分享民歌谱 潮涌中国(孙振春词 杜伊林曲),由孙振春 杜伊林 词/曲,潘亚春 演唱,关关 编辑整理…《潮涌中国》文本歌词潮涌中国第一段:朝霞染长天,春水正奔涌。潮涌大地花烂漫,天地也有情。南来有微笑,北往踏歌声。百舸争流远方去,风展旗正红。第二段:阳光吻山川,清晨送黎明。征程漫漫总是爱,风雨化彩...
1474 潮涌中国 孙振春 杜伊林潘亚春本文分享民歌谱 春风化雨—监管民警之歌,由佘云映 王建超 词/曲, 演唱,小张 编辑整理…...
1094 春风化雨—监管民警之歌 佘云映 王建超| 留言与评论(共有 0 条评论) |
