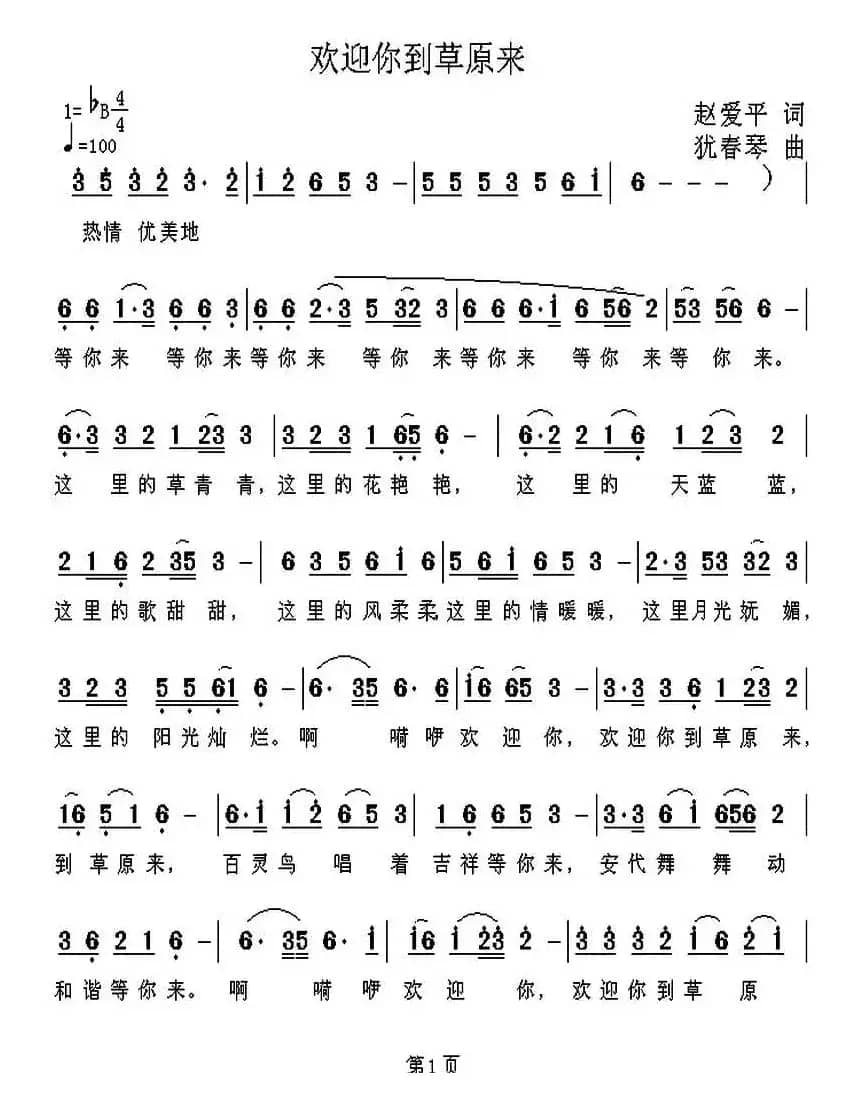
名称:欢迎你到草原来 赵爱平词 犹春琴曲
国家:中国
作词:赵爱平
作曲:犹春琴
分类:歌谱
子类:民歌谱
类型:简谱
文件格式:jpg


《欢迎你到草原来》文本歌词
《欢迎你到草原来》
作词:赵爱平(雪中观海)
作曲:犹春琴(布谷夜莺)
编曲:潘桂贤(孤独云龙)
这里的草青青;
这里的花艳艳;
这里的天蓝蓝;
这里的歌甜甜。
这里的风柔柔;
这里的情暖暖;
这里的月光妩媚;
这里的阳光灿烂。
欢迎你到草原来,
欢迎你到草原来,
百灵鸟唱着吉祥等你来,
安代舞舞动和谐等你来,
等你来,等你来。
欢迎你到草原来,
欢迎你到草原来,
奶茶奶酒飘着醇香等你来,
鸿雁翱翔画着彩虹等你来,
等你来,等你来。










