

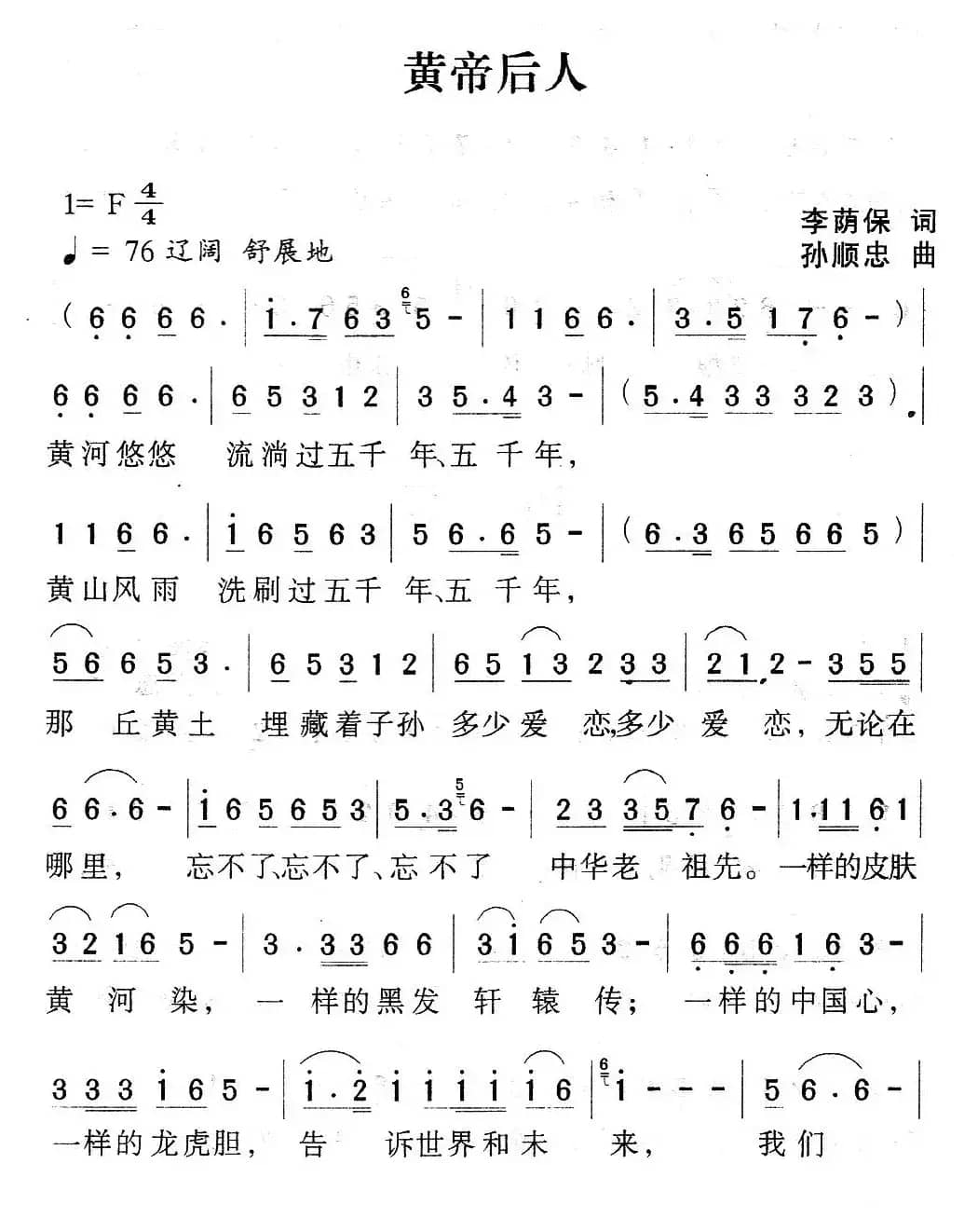
黄帝后人_民歌简谱_词曲:李荫保 孙顺忠简谱歌词是曲谱查询网于2022年11月15日 19:29:04更新在民歌曲谱频道中的内容,收录在民歌曲谱栏目中;曲谱查询网分享的黄帝后人_民歌简谱_词曲:李荫保 孙顺忠简谱五线谱高清图片,欢迎在线免费下载;曲谱查询网无需注册,即可直接下载海量歌曲谱与乐器学习相关资料。
曲谱查询网收录古今中外海量歌曲谱,如歌曲简谱、乐曲五线谱、PDF乐谱、戏曲谱、器乐相关资源下载等,欢迎查阅!


黄帝后人_民歌简谱_词曲:李荫保 孙顺忠简谱歌词是曲谱查询网于2022年11月15日 19:29:04更新在民歌曲谱频道中的内容,收录在民歌曲谱栏目中;曲谱查询网分享的黄帝后人_民歌简谱_词曲:李荫保 孙顺忠简谱五线谱高清图片,欢迎在线免费下载;曲谱查询网无需注册,即可直接下载海量歌曲谱与乐器学习相关资料。
本文分享民歌谱 我是一片霞,由诗维兰 丘福生 词/曲, 演唱,阿晓 编辑整理…试听地址:http://yc.5sing.com/498098.html附件:歌词《我是一片霞》作词:诗维兰作曲:丘福生歌曲监制:赵恕心我是一片霞我是一朵花在长空中遨游在山河间飘洒霞飘千万里花香遍天涯芳龄...
156 我是一片霞 诗维兰 丘福生本文分享民歌谱 梦见我的娘,由子健 子健 词/曲, 演唱,南南 编辑整理…《梦见我的娘》文本歌词梦见我的娘作词:子健 作曲:子健编曲:子健 演唱:子健昨夜朦胧入梦乡,悠悠白云中见到娘。端庄的身姿微微的笑,没有苦泪和忧伤。啊!娘啊娘啊!您还是那么慈祥。抚平我苦苦的思念,儿愿驻守在甜蜜的梦里,留住这...
417 梦见我的娘 子健本文分享民歌谱 母亲是太阳,由韵 快乐老天 词/曲,羽翼 演唱,小遐 编辑整理…《母亲是太阳》文本歌词母亲是太阳作词: 韵作曲: 快乐老天编曲: 快乐老天年年持家操劳,默默奉献嫌少,青丝悄然何处?白发巳挂鬓梢。日复一日何时休?年复一年红颜老。满腹心思与谁诉?幼苗成才泪眼笑!母亲是月亮...
168 母亲是太阳 韵 快乐老天羽翼本文分享民歌谱 党啊,我永远和你风雨同舟,由李严 周建国 词/曲, 演唱,大龙 编辑整理…...
610 党啊 我永远和你风雨同舟 李严 周建国本文分享民歌谱 蝶恋花.答李淑一(毛泽东词 瞿希贤曲、正谱),由毛泽东 瞿希贤 词/曲, 演唱,小彦彦 编辑整理…...
58 蝶恋花答李淑一 毛泽东 瞿希贤| 留言与评论(共有 0 条评论) |
