
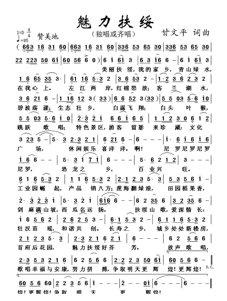
魅力扶绥_民歌简谱_词曲:甘文平 甘文平简谱歌词是曲谱查询网于2022年11月17日 15:59:25更新在民歌曲谱频道中的内容,收录在民歌曲谱栏目中;曲谱查询网分享的魅力扶绥_民歌简谱_词曲:甘文平 甘文平简谱五线谱高清图片,欢迎在线免费下载;曲谱查询网无需注册,即可直接下载海量歌曲谱与乐器学习相关资料。
曲谱查询网收录古今中外海量歌曲谱,如歌曲简谱、乐曲五线谱、PDF乐谱、戏曲谱、器乐相关资源下载等,欢迎查阅!

魅力扶绥_民歌简谱_词曲:甘文平 甘文平简谱歌词是曲谱查询网于2022年11月17日 15:59:25更新在民歌曲谱频道中的内容,收录在民歌曲谱栏目中;曲谱查询网分享的魅力扶绥_民歌简谱_词曲:甘文平 甘文平简谱五线谱高清图片,欢迎在线免费下载;曲谱查询网无需注册,即可直接下载海量歌曲谱与乐器学习相关资料。
本文分享民歌谱 秋到渤海湾,由韩冰 吴崇生 词/曲, 演唱,晒晒 编辑整理…这首歌获中央人民广播电台1984年“祖国在前进”征歌二等奖。...
706 秋到渤海湾 韩冰 吴崇生本文分享民歌谱 安徽美,由张俊海 刘昌贵 词/曲, 演唱,小石头 编辑整理…《安徽美》文本歌词安徽美作词:张俊海 曲编唱:刘昌贵(美梦音)游过山玩过水,安徽最美,庐剧调花鼓腔,季节妩媚。昨日逝今日催,安徽丰碑,黄山松淮河浪,碧翠依偎。前人浩浩无悔,赤忱心蕾,后人紧紧跟随,虔诚敬畏。徽风轻轻的...
1083 安徽美 张俊海 刘昌贵本文分享民歌谱 远方(刘昌贵 词曲),由刘昌贵 刘昌贵 词/曲,胡润华 演唱,铁铁 编辑整理…《远方》文本歌词美丽的月亮挂在天上,微微的风儿吹拂着我的脸庞,我心上的姑娘哟你在远方,是否快乐是否安康!是否快乐是否安康从月亮中我看到了你那深情的模样,在风儿里送来了你那醉人的芳香,我心上的姑娘哟你在远方,...
1692 远方 刘昌贵 刘昌贵胡润华本文分享民歌谱 故土难离(宋青松词 陈光曲),由宋青松 陈光 词/曲, 演唱,栊儿 编辑整理…《故土难离》文本歌词故土难离1、在堂前祭回先祖,到田间走回老路。到过了珍重说过了再见,却还是迈不开脚步。2、到村头摸摸老树,往怀里揣把泥土,劝自己坚强送别人祝福,却还是止不住泪哭。副歌:故土难离,难离故土,...
741 故土难离 宋青松 陈光本文分享民歌谱 时代公仆 ,由杨定基 吴雄 词/曲,王婧 演唱,唔西 编辑整理…谱友论坛上传了原唱、伴奏及全套资料:http://bbs.qupu123.com/thread-17957-1-1.htmlMP3试听:http://5sing.kugou.com/yc/3420136.html《时代...
280 时代公仆 杨定基 吴雄 王婧| 留言与评论(共有 0 条评论) |
