
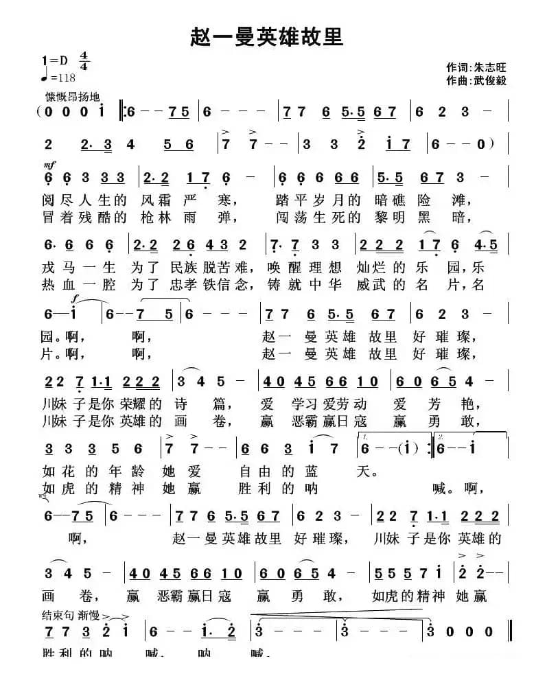
赵一曼英雄故里_民歌简谱_词曲:朱志旺 武俊毅简谱歌词是曲谱查询网于2022年11月18日 04:19:12更新在民歌曲谱频道中的内容,收录在民歌曲谱栏目中;曲谱查询网分享的赵一曼英雄故里_民歌简谱_词曲:朱志旺 武俊毅简谱五线谱高清图片,欢迎在线免费下载;曲谱查询网无需注册,即可直接下载海量歌曲谱与乐器学习相关资料。
曲谱查询网收录古今中外海量歌曲谱,如歌曲简谱、乐曲五线谱、PDF乐谱、戏曲谱、器乐相关资源下载等,欢迎查阅!

赵一曼英雄故里_民歌简谱_词曲:朱志旺 武俊毅简谱歌词是曲谱查询网于2022年11月18日 04:19:12更新在民歌曲谱频道中的内容,收录在民歌曲谱栏目中;曲谱查询网分享的赵一曼英雄故里_民歌简谱_词曲:朱志旺 武俊毅简谱五线谱高清图片,欢迎在线免费下载;曲谱查询网无需注册,即可直接下载海量歌曲谱与乐器学习相关资料。
| 留言与评论(共有 0 条评论) |