
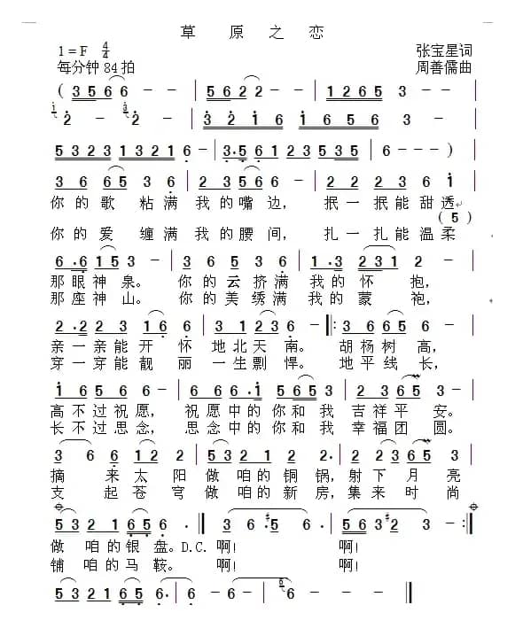
草原之恋_民歌简谱_词曲:张宝星 周善儒简谱歌词是曲谱查询网于2022年11月18日 06:26:49更新在民歌曲谱频道中的内容,收录在民歌曲谱栏目中;曲谱查询网分享的草原之恋_民歌简谱_词曲:张宝星 周善儒简谱五线谱高清图片,欢迎在线免费下载;曲谱查询网无需注册,即可直接下载海量歌曲谱与乐器学习相关资料。
曲谱查询网收录古今中外海量歌曲谱,如歌曲简谱、乐曲五线谱、PDF乐谱、戏曲谱、器乐相关资源下载等,欢迎查阅!

草原之恋_民歌简谱_词曲:张宝星 周善儒简谱歌词是曲谱查询网于2022年11月18日 06:26:49更新在民歌曲谱频道中的内容,收录在民歌曲谱栏目中;曲谱查询网分享的草原之恋_民歌简谱_词曲:张宝星 周善儒简谱五线谱高清图片,欢迎在线免费下载;曲谱查询网无需注册,即可直接下载海量歌曲谱与乐器学习相关资料。
本文分享民歌谱 饶了我老孙吧(歌剧《星星之火》选曲),由侣朋 劫夫 词/曲, 演唱,大华 编辑整理…《革命人永远是年轻》这首经典歌曲似乎也是永远年轻的,传唱多年,经久不衰。它就是我国第一部反映东北抗联斗争的歌剧《星星之火》的插曲。这部歌剧正式公演正值抗美援朝初期,引起了很大的轰动,演出获得了巨大的成...
1632 饶了我老孙吧 侣朋 劫夫本文分享民歌谱 歌剧《白毛女》全剧之第七十八曲(五幕三场),由丁毅 马可 词/曲, 演唱,虎儿 编辑整理…...
1080 歌剧《白毛女》全剧之第七十八曲 丁毅 马可本文分享民歌谱 四季栖霞,由唐付林 陈丽君 词/曲, 演唱,山楂 编辑整理…致谢:《曲谱查询网》衷心感谢作者老师馈赠原版歌谱!发表于《词刊》2014年11月...
917 四季栖霞 唐付林 陈丽君本文分享民歌谱 长风扬帆万里晴,由林昌 李萌 词/曲,杭红梅 演唱,俐儿 编辑整理…内蒙古艺术学院“乌兰托嘎作曲特训班”作品《长风扬帆万里晴》文本歌词长风杨帆万里晴演唱:杭红梅作词:林 昌作曲:李 萌南湖的船儿点亮一盏灯,井冈红旗漫卷西风。雪上草地篝火映寒天,黄土高坡上几度山丹红。哦!昨天的故事穿...
484 长风扬帆万里晴 林昌 李萌杭红梅本文分享民歌谱 红花朵朵献雷锋(正谱),由丁任 金西曲、毕茜茜配伴奏 词/曲, 演唱,铭铭 编辑整理…选自《金西创作歌曲集》...
1888 红花朵朵献雷锋 丁任 金西曲 毕茜茜配伴奏本文分享民歌谱 金风吹来的时候(带前奏版),由任卫新 马骏英 词/曲,关牧村 演唱,珮珮 编辑整理…...
1593 金风吹来的时候 任卫新 马骏英关牧村| 留言与评论(共有 0 条评论) |
