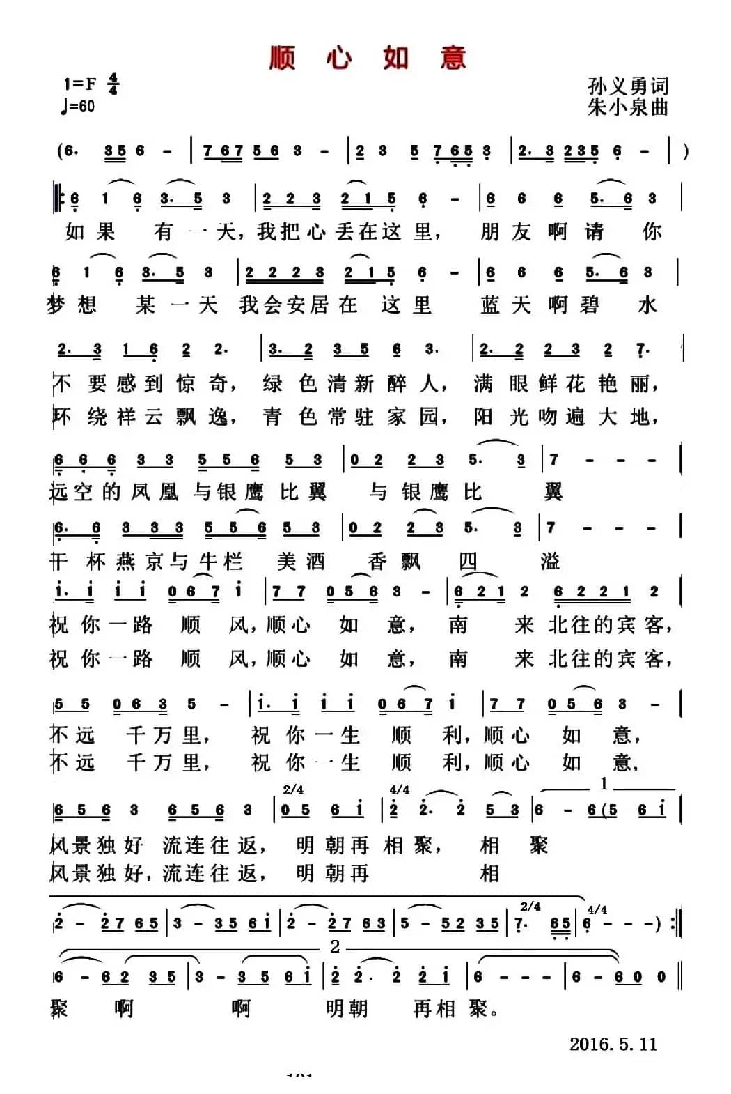
名称:顺心如意
艺术家:王琴
国家:中国
作词:张义勇
作曲:朱小泉
演唱:王琴
分类:歌谱
子类:民歌谱
类型:简谱
文件格式:jpg
MP3试听:http://5sing.kugou.com/yc/3244862.html

《顺心如意》文本歌词
顺心如意
如果有一天 我把心丢在这里
朋友啊请你不要感到惊奇
绿色清新醉人
满眼鲜花艳丽
远空的凤凰与银鹰比翼
与银鹰比翼
祝你一路顺风 顺心如意
南来北往的宾客
不远千万里
祝你一生顺利 顺心如意
风景独好 流连忘返
明朝再相聚
相聚
梦想某一天
我会安居在这里
蓝天啊碧水环绕祥云飘逸
青色常驻家园
阳光吻遍大地
干杯燕京与牛栏美酒香飘四溢
祝你一路顺风 顺心如意
南来北往的宾客
不远千万里
祝你一生顺利 顺心如意
风景独好 流连忘返
明朝再相聚 相聚
啊 啊
明朝再相聚












