
中国跟你走_民歌简谱_词曲:李严 朱小泉 丁容简谱歌词是曲谱查询网于2022年11月21日 14:06:32更新在民歌曲谱频道中的内容,收录在民歌曲谱栏目中;曲谱查询网分享的中国跟你走_民歌简谱_词曲:李严 朱小泉 丁容简谱五线谱高清图片,欢迎在线免费下载;曲谱查询网无需注册,即可直接下载海量歌曲谱与乐器学习相关资料。
曲谱查询网收录古今中外海量歌曲谱,如歌曲简谱、乐曲五线谱、PDF乐谱、戏曲谱、器乐相关资源下载等,欢迎查阅!

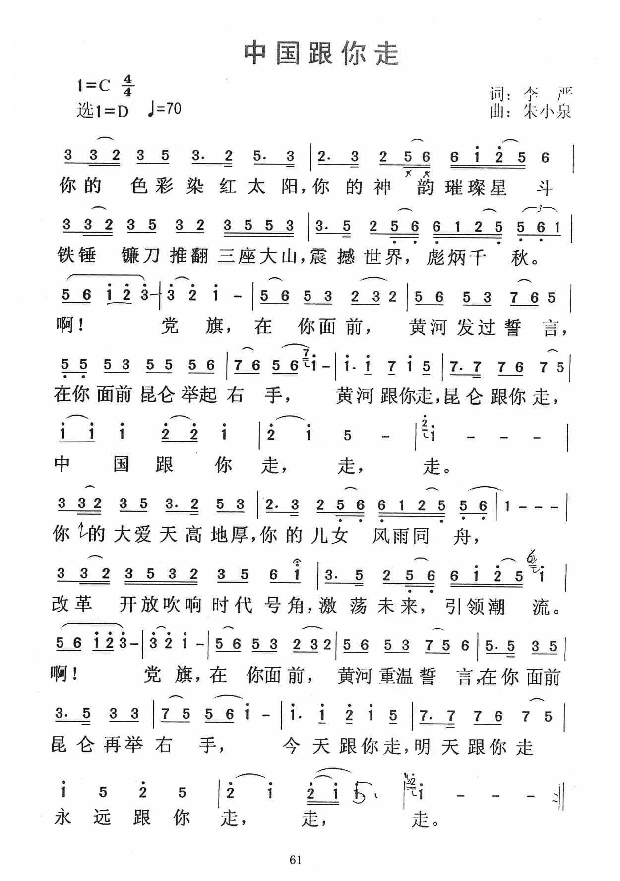
中国跟你走_民歌简谱_词曲:李严 朱小泉 丁容简谱歌词是曲谱查询网于2022年11月21日 14:06:32更新在民歌曲谱频道中的内容,收录在民歌曲谱栏目中;曲谱查询网分享的中国跟你走_民歌简谱_词曲:李严 朱小泉 丁容简谱五线谱高清图片,欢迎在线免费下载;曲谱查询网无需注册,即可直接下载海量歌曲谱与乐器学习相关资料。
本文分享民歌谱 大美江苏,由陆华军 李崇德 词/曲,熊立红 演唱,琮琮 编辑整理…致谢:衷心感谢作者老师馈赠原版歌谱!MP3试听:http://5sing.kugou.com/yc/1233082.html《大美江苏》文本歌词大美江苏陆华军 词李崇德 曲熊立红 演唱都说钟山风雨叙...
187 大美江苏 陆华军 李崇德熊立红本文分享民歌谱 当兵走天涯(高俊词 姜延辉曲),由高俊 姜延辉 词/曲, 演唱,潜潜 编辑整理…《当兵走天涯》文本歌词当兵走天涯,越远越想家,家是枕上的梦,家是信中的话,家是贴在邮票上的姑娘心哟,家是探望哨所的弯月芽。来……来……为家才离家,国门得有人把。军装染得千山绿,簇拥心中的那朵花。当兵走天涯...
1265 当兵走天涯 高俊 姜延辉本文分享民歌谱 走进大别山(陈世慧词 汪明舒曲),由陈世慧 汪明舒 词/曲,纪冬冬 演唱,泰浩 编辑整理…《走进大别山》文本歌词走进大别山作者: 牵一片云彩登上金刚台,才知道大别山有最宽广的胸怀;你唱我唱,八月桂花遍地开,问你问我,红色记忆怎能改?朝阳洞曾住过当年的红军,风风雨雨书写着英雄的气概;山...
943 走进大别山 陈世慧 汪明舒纪冬冬| 留言与评论(共有 0 条评论) |
