曲谱查询网收录古今中外海量歌曲谱,如歌曲简谱、乐曲五线谱、PDF乐谱、戏曲谱、器乐相关资源下载等,欢迎查阅!

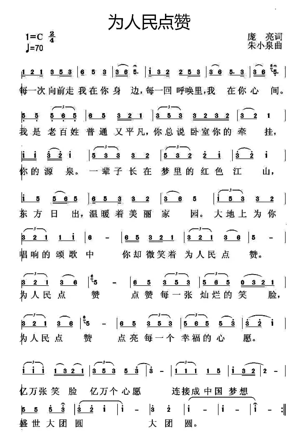
为人民点赞_民歌简谱_词曲:庞亮 朱小泉

时间 : 2022-11-21 作者 : 小猪 点击 :

为人民点赞(庞亮词 朱小泉曲)

为人民点赞_民歌简谱_词曲:庞亮 朱小泉简谱歌词是曲谱查询网于2022年11月21日 18:59:33更新在民歌曲谱频道中的内容,收录在民歌曲谱栏目中;曲谱查询网分享的为人民点赞_民歌简谱_词曲:庞亮 朱小泉简谱五线谱高清图片,欢迎在线免费下载;曲谱查询网无需注册,即可直接下载海量歌曲谱与乐器学习相关资料。

相关文章

留言与评论(共有 0 条评论)
   
验证码: