
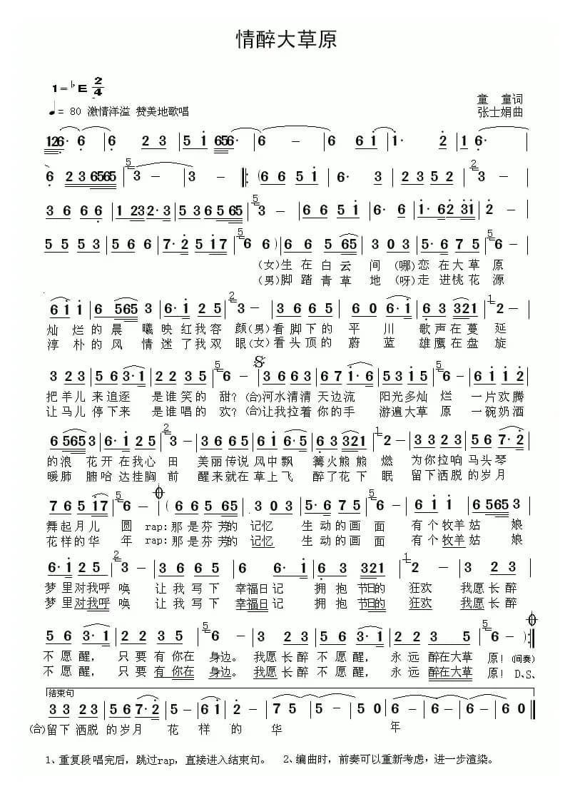
情醉大草原_民歌简谱_词曲:童童 张士娟简谱歌词是曲谱查询网于2022年11月25日 22:57:23更新在民歌曲谱频道中的内容,收录在民歌曲谱栏目中;曲谱查询网分享的情醉大草原_民歌简谱_词曲:童童 张士娟简谱五线谱高清图片,欢迎在线免费下载;曲谱查询网无需注册,即可直接下载海量歌曲谱与乐器学习相关资料。
曲谱查询网收录古今中外海量歌曲谱,如歌曲简谱、乐曲五线谱、PDF乐谱、戏曲谱、器乐相关资源下载等,欢迎查阅!

情醉大草原_民歌简谱_词曲:童童 张士娟简谱歌词是曲谱查询网于2022年11月25日 22:57:23更新在民歌曲谱频道中的内容,收录在民歌曲谱栏目中;曲谱查询网分享的情醉大草原_民歌简谱_词曲:童童 张士娟简谱五线谱高清图片,欢迎在线免费下载;曲谱查询网无需注册,即可直接下载海量歌曲谱与乐器学习相关资料。
本文分享民歌谱 美丽靖安,由李文志 许宝仁 词/曲,朱跃明 演唱,斑羚 编辑整理…靖安县位于江西省西北部,宜春市东北部。地理坐标为北纬28°46′-29°06′,东经114°55′-115°32′。东邻安义县,南接奉新县,西毗修水县,北接武宁、永修县;县城双溪镇距省会南昌80千米。试听地址:http...
753 美丽靖安 李文志 许宝仁朱跃明本文分享民歌谱 耕耘者之歌,由卢振伟 卢振伟 词/曲, 演唱,都都 编辑整理…《耕耘者之歌》文本歌词耕耘者之歌(歌词)作词:卢振伟作曲:卢振伟编曲:张志良男声首唱:耕 耘 -- 李永林后期混编:耕 耘 -- 李永林(一)你用金色的锤头把道路开拓, 你用金色的镰刀把希望收获。你用不变的信...
909 耕耘者之歌 卢振伟本文分享民歌谱 草原,绿色的歌谣(李昌明词 于显文、文索曲),由李昌明 于显文、文索 词/曲, 演唱,潇潇 编辑整理…...
1339 草原 绿色的歌谣 李昌明本文分享民歌谱 母亲的吻 故乡的恩,由刘国柏(二虎上学) 吴书浔 词/曲, 演唱,乐乐 编辑整理…《母亲的吻 故乡的恩》文本歌词母亲的吻 故乡的恩作词:刘国柏作曲:吴书浔演唱:开心的唱编曲:燕君陶谁脸上没有母亲的吻母亲吻啊多温馨 多温馨难忘的童年,炽热的爱永远牵动儿女心 儿女心走出家门三回首躬身拜别...
1625 母亲的吻 故乡的恩 刘国柏(二虎上学) 吴书浔| 留言与评论(共有 0 条评论) |
