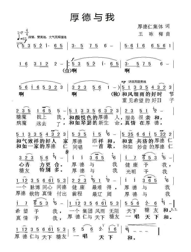
名称:厚德与我
艺术家:真情玲儿
国家:中国
作词:厚德仁集体
作曲:王咏梅
演唱:真情玲儿
分类:歌谱
子类:民歌谱
类型:简谱
文件格式:jpg

《厚德与我》文本歌词
厚德与我
作曲:王咏梅
填词:厚德仁集体
演唱:真情玲儿
啊,啊,
啊,啊,
和风细雨的好时节,
糖魔找上我。
和颜悦色的厚德人,
服务很亲和。
和气致祥的好人家,
厚德添祥和。
和衷共济的厚德仁,
心齐力更合。
厚德与我,健康予我,
一个脉膊同心同德,
健康最难得。
厚德与我,希望予我,
一个集团风雨无阻,
天下糖友和。
重见希望的好日子,
病魔远去了。
和如琴瑟的新生命,
真情在厚德,
和如一家的厚德仁,
同唱一首歌。
和如妙音的厚德仁,
糖友特别多。
厚德与我,健康予我,
一个脉膊同心同德,
健康最难得。
厚德与我,希望予我,
一个集团风雨无阻,
天下糖友和。
厚德与我,光明予我,
厚德载物真情付出,
前程最辽阔。
厚德与我,真情予我,
厚德仁与天下糖友
一唱天下和。
厚德仁与天下糖友,
一唱天下和。












