
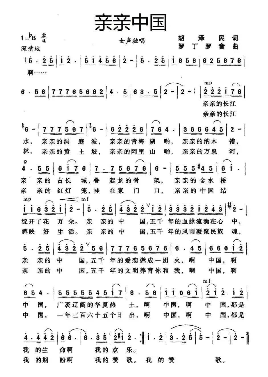
亲亲中国_民歌简谱_词曲:胡泽民 罗丁 罗音简谱歌词是曲谱查询网于2022年12月04日 23:43:23更新在民歌曲谱频道中的内容,收录在民歌曲谱栏目中;曲谱查询网分享的亲亲中国_民歌简谱_词曲:胡泽民 罗丁 罗音简谱五线谱高清图片,欢迎在线免费下载;曲谱查询网无需注册,即可直接下载海量歌曲谱与乐器学习相关资料。
曲谱查询网收录古今中外海量歌曲谱,如歌曲简谱、乐曲五线谱、PDF乐谱、戏曲谱、器乐相关资源下载等,欢迎查阅!

亲亲中国_民歌简谱_词曲:胡泽民 罗丁 罗音简谱歌词是曲谱查询网于2022年12月04日 23:43:23更新在民歌曲谱频道中的内容,收录在民歌曲谱栏目中;曲谱查询网分享的亲亲中国_民歌简谱_词曲:胡泽民 罗丁 罗音简谱五线谱高清图片,欢迎在线免费下载;曲谱查询网无需注册,即可直接下载海量歌曲谱与乐器学习相关资料。
本文分享民歌谱 清雅可爱的茶花(李卫华词 朝乐蒙曲),由李卫华 朝乐蒙 词/曲,花之悦 演唱,小天 编辑整理…...
60 清雅可爱的茶花 李卫华 朝乐蒙花之悦 卫华本文分享民歌谱 御史家风,由林双华 崔来宾 词/曲,崔来宾 演唱,小豆包 编辑整理…根据“清御史第一人”的江春霖创作的作品,江春霖(1855-1918),字仲默,号杏村。他的祖父是名秀才,父亲中过举人,受家庭熏陶,他从小便熟读经史。1891年,江春霖撰写了一篇表达自己志向的文章,他说自己欲报效国家者...
1356 御史家风 林双华 崔来宾本文分享民歌谱 你照亮中国(丁恩昌词 李华野曲),由丁恩昌 李华野 词/曲,岳连军 演唱,小怀 编辑整理…《你照亮中国》文本歌词你照亮中国-----献给建党90周年丁恩昌你照亮中国,灿烂光辉暖透民心窝。南湖红船扬帆领航,开国礼炮托起春色。你点燃热血爱洒民生,你凝聚智慧培育硕果。党啊!铁锤镰刀打造神州...
460 你照亮中国 丁恩昌 李华野岳连军| 留言与评论(共有 0 条评论) |
