
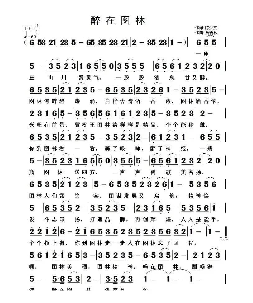
醉在图林_民歌简谱_词曲:陈少杰 黄清林简谱歌词是曲谱查询网于2022年12月07日 11:38:56更新在民歌曲谱频道中的内容,收录在民歌曲谱栏目中;曲谱查询网分享的醉在图林_民歌简谱_词曲:陈少杰 黄清林简谱五线谱高清图片,欢迎在线免费下载;曲谱查询网无需注册,即可直接下载海量歌曲谱与乐器学习相关资料。
曲谱查询网收录古今中外海量歌曲谱,如歌曲简谱、乐曲五线谱、PDF乐谱、戏曲谱、器乐相关资源下载等,欢迎查阅!

醉在图林_民歌简谱_词曲:陈少杰 黄清林简谱歌词是曲谱查询网于2022年12月07日 11:38:56更新在民歌曲谱频道中的内容,收录在民歌曲谱栏目中;曲谱查询网分享的醉在图林_民歌简谱_词曲:陈少杰 黄清林简谱五线谱高清图片,欢迎在线免费下载;曲谱查询网无需注册,即可直接下载海量歌曲谱与乐器学习相关资料。
本文分享民歌谱 为你写首歌,由漠沙 王培林 词/曲,刘旭 演唱,柠檬 编辑整理…MP3试听:http://yc.5sing.com/582245.html...
1258 为你写首歌 漠沙 王培林刘旭本文分享民歌谱 河南颂,由张宏梁 张宏梁 词/曲, 演唱,小翔 编辑整理…征歌作品MP3试听:http://5sing.kugou.com/yc/3702887.html...
314 河南颂 张宏梁本文分享民歌谱 鲁山赞(丁恩昌词 王永令曲),由丁恩昌 王永令 词/曲,韩乃舜 演唱,多多儿 编辑整理…《鲁山赞》在首届中国淄博国际陶瓷琉璃艺术节上,韩乃舜演唱,淄博歌舞团乐队伴奏,王永令指挥并获创作、演唱一等桨。...
444 鲁山赞 丁恩昌 王永令韩乃舜本文分享民歌谱 想起老地方,由欧阳倩 国巍 词/曲,国巍 演唱,庸儿 编辑整理…致谢:衷心感谢作者老师馈赠原版歌谱!《想起老地方》文本歌词想起老地方作词:欧阳倩 作曲:国巍 演唱:国巍 编曲:丁巍常常的回想 记忆落满窗一个人梦中有太阳 心情好释放牵挂有多长 爱就有多长风雨...
1419 想起老地方 欧阳倩 国巍国巍本文分享民歌谱 宋则呀啦(堆谐),由 词/曲, 演唱,小志 编辑整理…这是一首藏族民间歌舞“堆谢”的代表曲目。“堆谢”是与“囊玛”齐名的藏族歌舞。“堆”是西藏的一个地方名,“谢”是“歌曲”,“堆谢”即流传在“堆”的歌曲。...
1107 宋则呀啦| 留言与评论(共有 0 条评论) |
