
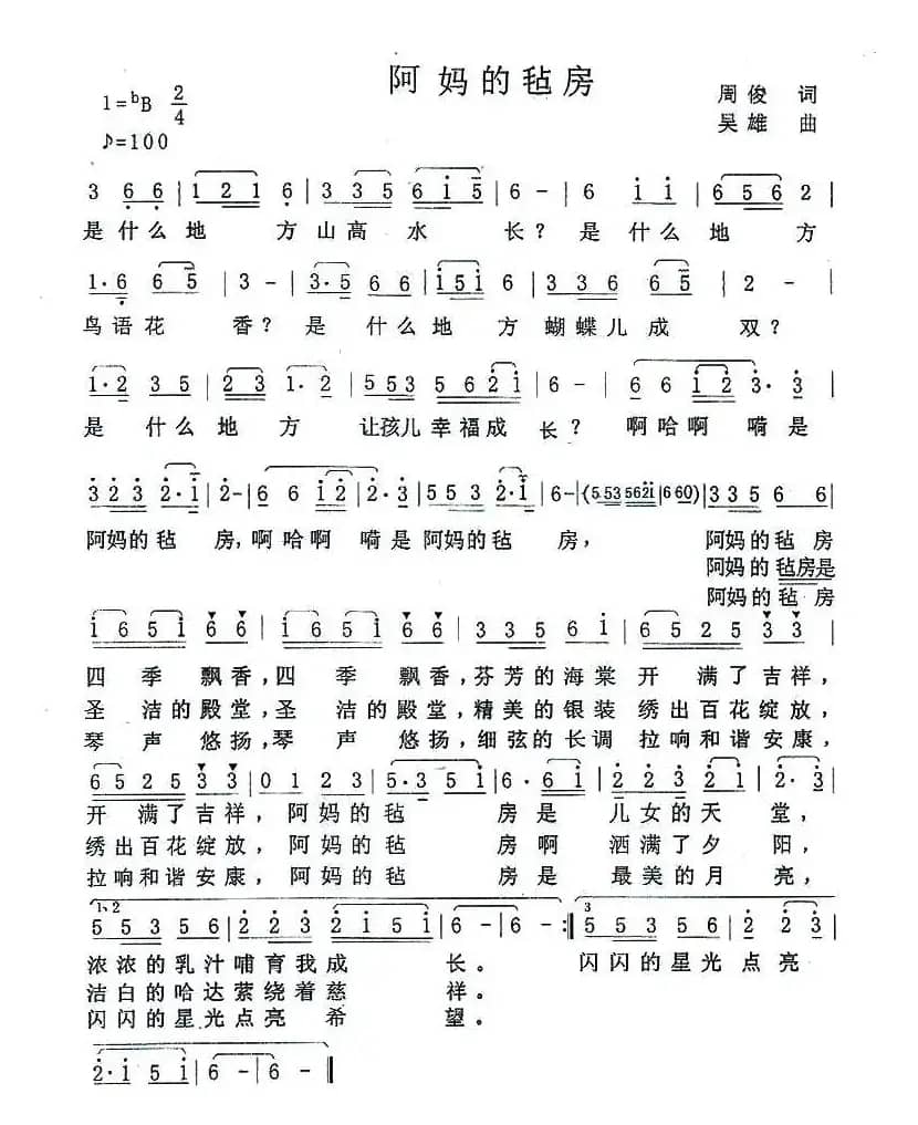
阿妈的毡房_民歌简谱_词曲:周俊 吴雄简谱歌词是曲谱查询网于2022年12月16日 08:27:51更新在民歌曲谱频道中的内容,收录在民歌曲谱栏目中;曲谱查询网分享的阿妈的毡房_民歌简谱_词曲:周俊 吴雄简谱五线谱高清图片,欢迎在线免费下载;曲谱查询网无需注册,即可直接下载海量歌曲谱与乐器学习相关资料。
曲谱查询网收录古今中外海量歌曲谱,如歌曲简谱、乐曲五线谱、PDF乐谱、戏曲谱、器乐相关资源下载等,欢迎查阅!

阿妈的毡房_民歌简谱_词曲:周俊 吴雄简谱歌词是曲谱查询网于2022年12月16日 08:27:51更新在民歌曲谱频道中的内容,收录在民歌曲谱栏目中;曲谱查询网分享的阿妈的毡房_民歌简谱_词曲:周俊 吴雄简谱五线谱高清图片,欢迎在线免费下载;曲谱查询网无需注册,即可直接下载海量歌曲谱与乐器学习相关资料。
本文分享民歌谱 见到草原想唱歌,由李宏天 张传清 词/曲, 演唱,仓鼠 编辑整理…征歌作品MV欣赏:http://v.youku.com/v_show/id_XMTcwMjkxNjI1Ng==.html?betapaction...
1901 见到草原想唱歌 李宏天 张传清本文分享民歌谱 有梦相随,由陈红志 石玉泉 词/曲, 演唱,瑞强 编辑整理…致谢:《曲谱查询网》衷心感谢作者老师馈赠原版歌谱!《有梦相随》文本歌词120.有梦相随陈红志 词石玉泉 曲...
1227 有梦相随 陈红志 石玉泉本文分享民歌谱 走不出的喜马拉雅,由茂戈 李海明 词/曲, 演唱,小怀 编辑整理…《走不出的喜马拉雅》文本歌词走不出的喜马拉雅茂戈词 李海明曲是我悠远的梦,我的喜马拉雅,雪是喜马,家乡是拉雅,喜马拉雅是我一生的家。我的母亲是珠穆朗玛,我走不出她的孤独她的爱恋,她让我的心田盛开出一路格桑花。走不出的...
2006 走不出的喜马拉雅 茂戈 李海明本文分享民歌谱 英雄登上剑门关,由魏道林 黄本笃 词/曲, 演唱,诚儿 编辑整理…主旋律试听:http://yc.5sing.com/1046762.html...
1772 英雄登上剑门关 魏道林 黄本笃| 留言与评论(共有 0 条评论) |
