

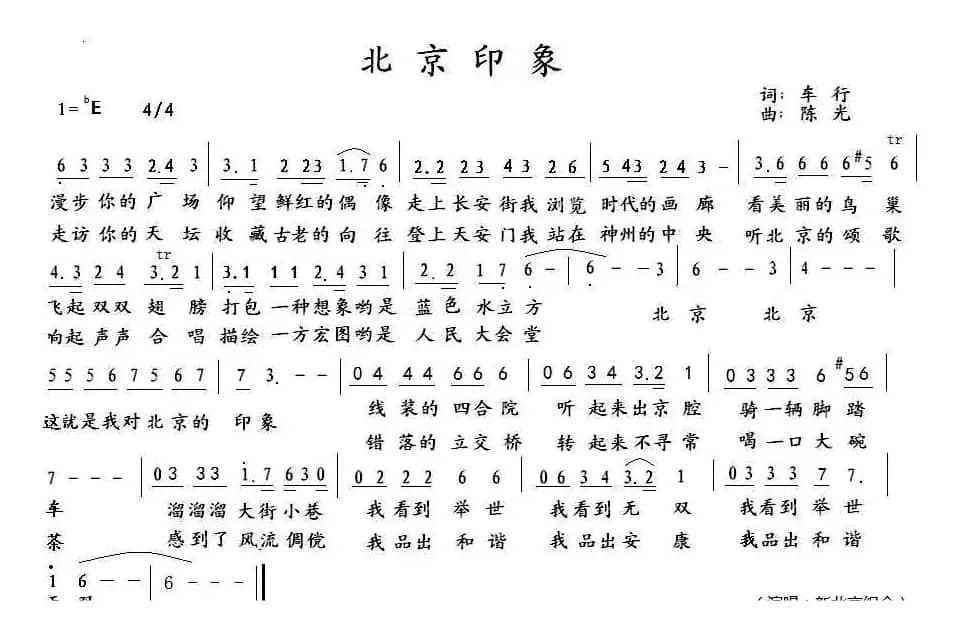
北京印象_民歌简谱_词曲:车行 陈光简谱歌词是曲谱查询网于2022年12月18日 01:17:37更新在民歌曲谱频道中的内容,收录在民歌曲谱栏目中;曲谱查询网分享的北京印象_民歌简谱_词曲:车行 陈光简谱五线谱高清图片,欢迎在线免费下载;曲谱查询网无需注册,即可直接下载海量歌曲谱与乐器学习相关资料。
曲谱查询网收录古今中外海量歌曲谱,如歌曲简谱、乐曲五线谱、PDF乐谱、戏曲谱、器乐相关资源下载等,欢迎查阅!


北京印象_民歌简谱_词曲:车行 陈光简谱歌词是曲谱查询网于2022年12月18日 01:17:37更新在民歌曲谱频道中的内容,收录在民歌曲谱栏目中;曲谱查询网分享的北京印象_民歌简谱_词曲:车行 陈光简谱五线谱高清图片,欢迎在线免费下载;曲谱查询网无需注册,即可直接下载海量歌曲谱与乐器学习相关资料。
本文分享民歌谱 梦暖心怀,由史英良 张志耕 词/曲,刘影 演唱,蚱蜢 编辑整理…中国梦,是2012年11月29日,新一届中央领导集体在国家博物馆参观《复兴之路》展览过程中,习近平发表的重要讲话之一。中国梦代表了新一届政府对于建设富强民主文明和谐的社会...
1671 梦暖心怀 史英良 张志耕刘影| 留言与评论(共有 0 条评论) |
