





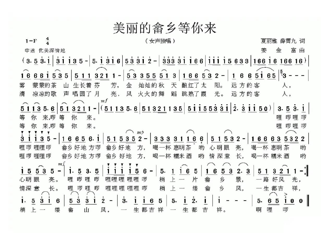
美丽的畲乡等你来_民歌简谱_词曲:夏丽雅 薛霄九 姜金富简谱歌词是曲谱查询网于2022年12月21日 12:17:57更新在民歌曲谱频道中的内容,收录在民歌曲谱栏目中;曲谱查询网分享的美丽的畲乡等你来_民歌简谱_词曲:夏丽雅 薛霄九 姜金富简谱五线谱高清图片,欢迎在线免费下载;曲谱查询网无需注册,即可直接下载海量歌曲谱与乐器学习相关资料。
曲谱查询网收录古今中外海量歌曲谱,如歌曲简谱、乐曲五线谱、PDF乐谱、戏曲谱、器乐相关资源下载等,欢迎查阅!






美丽的畲乡等你来_民歌简谱_词曲:夏丽雅 薛霄九 姜金富简谱歌词是曲谱查询网于2022年12月21日 12:17:57更新在民歌曲谱频道中的内容,收录在民歌曲谱栏目中;曲谱查询网分享的美丽的畲乡等你来_民歌简谱_词曲:夏丽雅 薛霄九 姜金富简谱五线谱高清图片,欢迎在线免费下载;曲谱查询网无需注册,即可直接下载海量歌曲谱与乐器学习相关资料。
本文分享民歌谱 我在云水间,由唐孟冲 唐孟冲 词/曲,王紫菲 演唱,源源 编辑整理…《我在云水间》文本歌词我在云水间词曲:唐孟冲演唱:王紫菲云在水上飞水在云中走纤纤玉素手悠悠上兰舟轻弹一曲潇湘水云琴声绕画船郎君放歌喉你的船歌温暖我胸口缠绵在心间甜蜜沾满袖你的橹桨摇落我离愁带我看芙蓉牵手登琼楼我在云水...
1683 我在云水间 唐孟冲 唐孟冲王紫菲本文分享民歌谱 康乃馨(郭静波 罗荔词 马杰曲),由郭静波 罗荔 马杰 词/曲,房媛媛 演唱,果果 编辑整理…《康乃馨》文本歌词康乃馨 五月的花采来一朵送妈妈花蕊是儿 甜甜的吻花瓣是儿知心话儿在千里常想家远方的妈妈你好吗告诉你呀 我想念的妈妈儿在外你放心吧若是你在梦里见到一只小小船那就是儿寄托的牵挂...
528 康乃馨 马杰房媛媛本文分享民歌谱 最美的是你(廖建中、廖启贤词 邹兴淮曲),由廖建中、廖启贤 邹兴淮 词/曲, 演唱,麟麟 编辑整理…...
1825 最美的是你 廖建中 廖启贤 邹兴淮本文分享民歌谱 万家灯火平安夜(周绍麟 梅文词 梅文曲),由周绍麟 梅文 梅文 词/曲,谭晶 金波 演唱,熙熙 编辑整理…荣获2009年感动中国一等奖,2010年桂林市金桂奖。歌曲收录于《感动中国建国六十周年优秀原创音乐作品精选》。MP3试听:http://5sing.kugou.com/yc/2...
354 万家灯火平安夜本文分享民歌谱 山歌唱出好兆头,由郑南 饶荣发 词/曲, 演唱,匆匆 编辑整理…试听链接:http://music.hakkaw.com/UpLoadFile/200552211648235.mp3...
741 山歌唱出好兆头 郑南 饶荣发| 留言与评论(共有 0 条评论) |
