
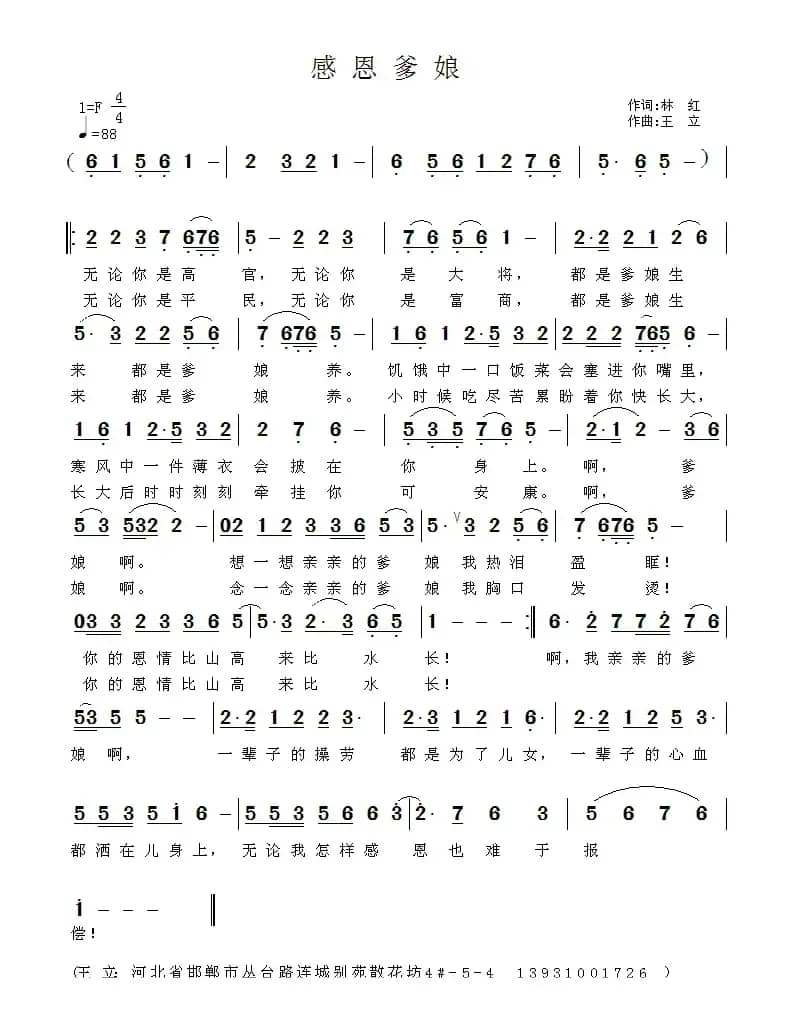
感恩爹娘_民歌简谱_词曲:林红 王立简谱歌词是曲谱查询网于2022年12月22日 22:36:01更新在民歌曲谱频道中的内容,收录在民歌曲谱栏目中;曲谱查询网分享的感恩爹娘_民歌简谱_词曲:林红 王立简谱五线谱高清图片,欢迎在线免费下载;曲谱查询网无需注册,即可直接下载海量歌曲谱与乐器学习相关资料。
曲谱查询网收录古今中外海量歌曲谱,如歌曲简谱、乐曲五线谱、PDF乐谱、戏曲谱、器乐相关资源下载等,欢迎查阅!

感恩爹娘_民歌简谱_词曲:林红 王立简谱歌词是曲谱查询网于2022年12月22日 22:36:01更新在民歌曲谱频道中的内容,收录在民歌曲谱栏目中;曲谱查询网分享的感恩爹娘_民歌简谱_词曲:林红 王立简谱五线谱高清图片,欢迎在线免费下载;曲谱查询网无需注册,即可直接下载海量歌曲谱与乐器学习相关资料。
本文分享民歌谱 爱乐歌,由李幼容 夏宝森 词/曲, 演唱,柚子 编辑整理…致谢:《曲谱查询网》衷心感谢作者老师馈赠原版歌谱!...
1960 爱乐歌 李幼容 夏宝森本文分享民歌谱 福字歌(扈岩词 吴书浔曲),由扈岩 吴书浔 词/曲, 演唱,小红帽 编辑整理…慢板伴奏在:http://5sing.kugou.com/yc/2779166.html 快板伴奏在:http://5sing.kugou.com/yc/2779910.html 《福字歌》文本歌词福字歌...
1702 福字歌 扈岩 吴书浔本文分享民歌谱 强军之歌,由张志存 夏中东 龙伟华 词/曲,阎维文 演唱,嘟嘟 编辑整理…《强军之歌》文本歌词强军之歌张志存 夏中东 词 龙伟华 曲我们是新时期的人民军队,迎来报国强军的崭新时代;绝对忠诚绝对纯洁绝对可靠,听党指挥是我们不变的军魂。我们是新时期的人民军队,肩负保卫祖国的神圣...
1472 强军之歌 龙伟华阎维文本文分享民歌谱 走不出的喜马拉雅,由茂戈 李海明 词/曲, 演唱,小怀 编辑整理…《走不出的喜马拉雅》文本歌词走不出的喜马拉雅茂戈词 李海明曲是我悠远的梦,我的喜马拉雅,雪是喜马,家乡是拉雅,喜马拉雅是我一生的家。我的母亲是珠穆朗玛,我走不出她的孤独她的爱恋,她让我的心田盛开出一路格桑花。走不出的...
2006 走不出的喜马拉雅 茂戈 李海明| 留言与评论(共有 0 条评论) |
