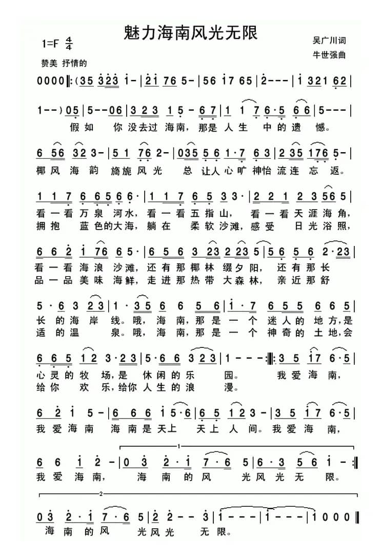
名称:魅力海南风光无限
艺术家:冬雪萧航、姜海英
国家:中国
作词:吴广川
作曲:牛世强
演唱:冬雪萧航、姜海英
分类:歌谱
子类:民歌谱
类型:简谱
文件格式:jpg
致谢:衷心感谢作者老师馈赠原版歌谱!
MP3试听:http://5sing.kugou.com/yc/1620965.html

《魅力海南风光无限》文本歌词
|
【魅力海南风光无限】 |
民歌曲谱精选,韵味悠长,一谱传唱入心
名称:魅力海南风光无限
艺术家:冬雪萧航、姜海英
国家:中国
作词:吴广川
作曲:牛世强
演唱:冬雪萧航、姜海英
分类:歌谱
子类:民歌谱
类型:简谱
文件格式:jpg
致谢:衷心感谢作者老师馈赠原版歌谱!
MP3试听:http://5sing.kugou.com/yc/1620965.html

|
【魅力海南风光无限】 |