


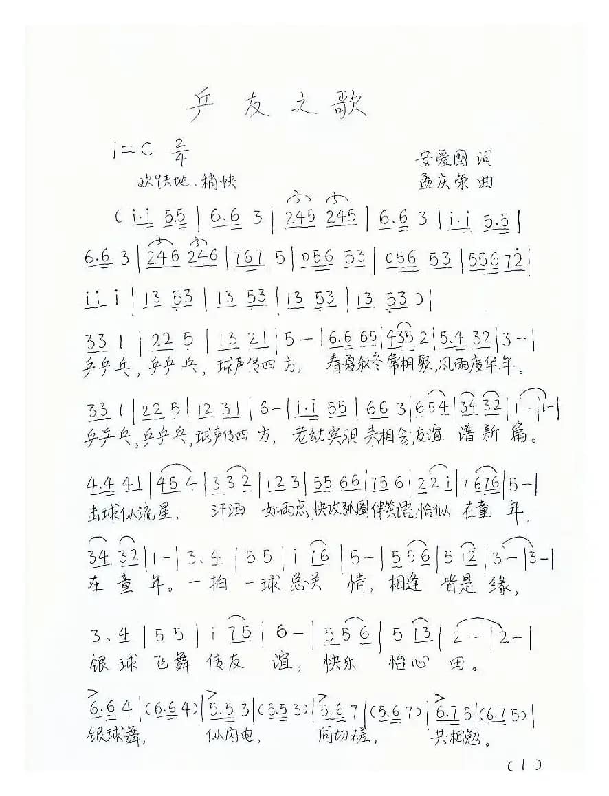
乒友之歌_民歌简谱_词曲:安爱国 孟庆荣简谱歌词是曲谱查询网于2022年12月23日 19:15:27更新在民歌曲谱频道中的内容,收录在民歌曲谱栏目中;曲谱查询网分享的乒友之歌_民歌简谱_词曲:安爱国 孟庆荣简谱五线谱高清图片,欢迎在线免费下载;曲谱查询网无需注册,即可直接下载海量歌曲谱与乐器学习相关资料。
曲谱查询网收录古今中外海量歌曲谱,如歌曲简谱、乐曲五线谱、PDF乐谱、戏曲谱、器乐相关资源下载等,欢迎查阅!



乒友之歌_民歌简谱_词曲:安爱国 孟庆荣简谱歌词是曲谱查询网于2022年12月23日 19:15:27更新在民歌曲谱频道中的内容,收录在民歌曲谱栏目中;曲谱查询网分享的乒友之歌_民歌简谱_词曲:安爱国 孟庆荣简谱五线谱高清图片,欢迎在线免费下载;曲谱查询网无需注册,即可直接下载海量歌曲谱与乐器学习相关资料。
本文分享民歌谱 仓央嘉措(李庆文词 寇勇曲),由李庆文 寇勇 词/曲, 演唱,乌饭果 编辑整理…致谢:《曲谱查询网》衷心感谢作者老师馈赠原版歌谱!...
1261 仓央嘉措 李庆文 寇勇本文分享民歌谱 87版《西游记》歌曲集:嫦娥曲 ,由阎肃 许镜清 词/曲,吴静 演唱,豆小 编辑整理…嫦娥曲是《西游记》电视剧人物脸谱歌曲, 作词:阎肃, 作曲: 许镜清,演唱者:吴静 。《87版《西游记》歌曲集:嫦娥曲 》文本歌词月色朦胧,夜色朦胧,寂寞广寒宫,凄凄凉凉,冷冷清清!只有那玉兔...
885 87版《西游记》歌曲集:嫦娥曲 阎肃 许镜清吴静本文分享民歌谱 鸭绿江之恋,由刘崇仁 秦咏诚 词/曲, 演唱,兜兜 编辑整理…《鸭绿江之恋》文本歌词鸭绿江之恋作词:刘崇仁 作曲:秦咏诚鸥鸟在浪花上叼起你的晨光,碧波在鸽哨里荡漾你的和祥,老人在舞剑,孩子在歌唱,姑娘飞舞的毯球,倒映在水面上。我爱恋的鸭绿江,在流淌着阳光。我爱恋的鸭绿江,在流淌着阳...
982 鸭绿江之恋 刘崇仁 秦咏诚本文分享民歌谱 感恩(熙明朝鲁词 常俊杰曲),由熙明朝鲁 常俊杰 词/曲,常思思 演唱,小铛铛 编辑整理…《感恩》文本歌词大地感恩太阳的温暖献上秀美山川草木感恩春雨的滋润涌起绿色礼赞白云感恩蓝天的胸怀化作甘霖绵绵彩虹感恩风雨的孕育鞠躬成七彩绚烂羊羔感恩妈妈的哺育懂得跪乳不站鸟儿感...
331 感恩 熙明朝鲁 常俊杰常思思本文分享民歌谱 钻工的姨婆,由冯建科 孙思源 词/曲,王月华 演唱,小大人 编辑整理…《钻工的姨婆》文本歌词钻工的婆姨冯建科词孙思源曲王月华(天歌流韵)演唱白嫩嫩的那个双手,长满了一层层的茧;软溜溜的那个细腰,摔成了硬朗朗的身板儿。大风里练就了铁膀子儿,跟油哥哥就往那风里雨里钻。钻工的婆姨有钻工的胆...
1869 钻工的姨婆 冯建科 孙思源王月华本文分享民歌谱 昏沉沉只觉得天旋地转(歌剧《古城春晓》选曲),由许多、江民 吕远 词/曲, 演唱,胖胖 编辑整理…...
1173 昏沉沉只觉得天旋地转 许多 江民 吕远本文分享民歌谱 乌苏里船歌,由郭颂 胡小石 汪云才 郭颂 词/曲,郭颂 演唱,钉钉 编辑整理…《乌苏里船歌》是一首充满生活气息的东北民歌,反映赫哲族人过上幸福生活,欢快,甜美,心情格外开朗的革 命歌曲。20世纪60年代,郭颂老师以其高亢悠扬的旋律唱响了神州大地,奠定了郭颂作为民歌演唱家的地位。《乌苏...
954 乌苏里船歌| 留言与评论(共有 0 条评论) |
