
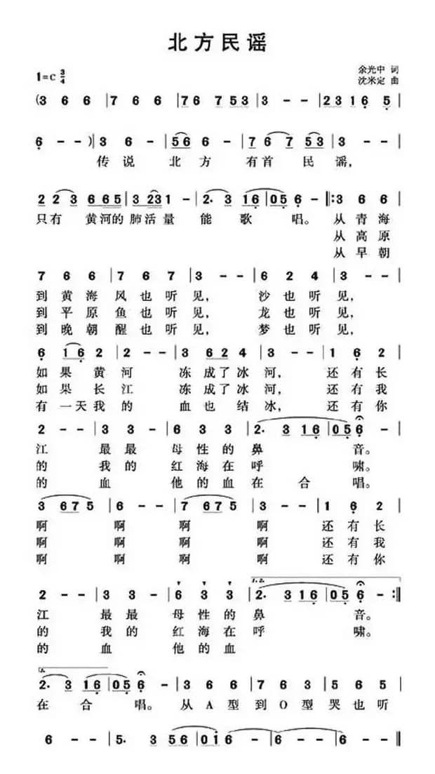
北方民谣_民歌简谱_词曲:余光中 沈米定简谱歌词是曲谱查询网于2022年12月23日 20:20:30更新在民歌曲谱频道中的内容,收录在民歌曲谱栏目中;曲谱查询网分享的北方民谣_民歌简谱_词曲:余光中 沈米定简谱五线谱高清图片,欢迎在线免费下载;曲谱查询网无需注册,即可直接下载海量歌曲谱与乐器学习相关资料。
曲谱查询网收录古今中外海量歌曲谱,如歌曲简谱、乐曲五线谱、PDF乐谱、戏曲谱、器乐相关资源下载等,欢迎查阅!

北方民谣_民歌简谱_词曲:余光中 沈米定简谱歌词是曲谱查询网于2022年12月23日 20:20:30更新在民歌曲谱频道中的内容,收录在民歌曲谱栏目中;曲谱查询网分享的北方民谣_民歌简谱_词曲:余光中 沈米定简谱五线谱高清图片,欢迎在线免费下载;曲谱查询网无需注册,即可直接下载海量歌曲谱与乐器学习相关资料。
本文分享民歌谱 你这个人,由何也 陈建全 词/曲, 演唱,玉米 编辑整理…《你这个人》文本歌词你 这 个 人 何 也 词 陈健全 曲你这个人,上我的楼,握我的手,是真的吗?你这个人,喝我的酒,闻我的柳,是真的吗?...
476 你这个人 何也 陈建全本文分享民歌谱 村路(罗定坤词 王立曲),由罗定坤 王立 词/曲, 演唱,森格 编辑整理…歌词是采自2008年《词刊》第7期第24页。...
811 村路 罗定坤 王立本文分享民歌谱 民歌中国(赵凌云词 朱小泉曲),由赵凌云 朱小泉 词/曲, 演唱,小虾饺 编辑整理…致谢:《曲谱查询网》衷心感谢作者老师馈赠原版歌谱!...
864 民歌中国 赵凌云 朱小泉本文分享民歌谱 大众爱,由张志鹏 徐富田 词/曲, 演唱,小天鹅 编辑整理…《大众爱》文本歌词大众爱作词:张志鹏作曲编曲:徐富田演唱: 恋曲168一双手一种力量手牵起来就会光芒万丈一个人一种梦想一个人一种梦想心连起来就是爱的桥梁献出一点爱关注孩子的健康让他们自由快乐的成长献出一点爱满足孩子的渴望让他...
1008 大众爱 张志鹏 徐富田| 留言与评论(共有 0 条评论) |
