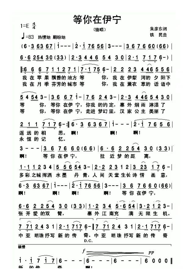
名称:等你在伊宁 朱彦东词 铁民曲
国家:中国
作词:朱彦东
作曲:铁民
分类:歌谱
子类:民歌谱
类型:简谱
文件格式:jpg
MP3试听:http://5sing.kugou.com/yc/1308596.html

《等你在伊宁》文本歌词
《等你在伊宁》
朱彦东 作词
铁 民 作曲
于 洋 编曲
甜美真 演唱
我在苹果飘香的地方等你
我在伊犁河的夕阳下等你
等你在伊宁,你我的约定
塞外烟雨淋湿了你我的相思
我在月季芬芳的城市等你
我在薰衣草的花语中等你
等你在伊宁,走进梦幻里
汉家公主美丽了永恒的记忆
啊
等你在伊宁,拉近梦的距离
多彩之城挥洒水墨丹青
人间天堂生长诗情画意
A等你在伊宁,张开爱的双臂
塞外江南充满无限生机
中亚明珠书写新的传奇











