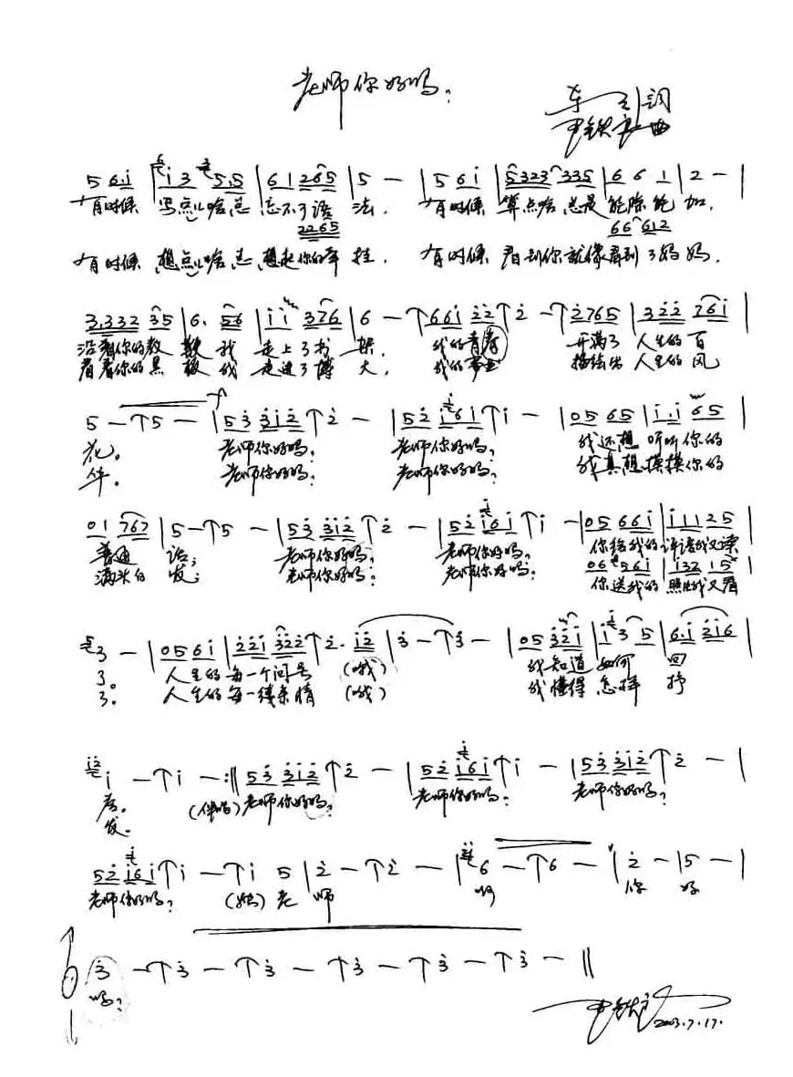
名称:老师你好吗? 车行词 尹铁良曲
艺术家:于文华
国家:中国
作词:车行
作曲:尹铁良
演唱:于文华
分类:歌谱
子类:民歌谱
类型:简谱
文件格式:jpg



《老师你好吗?》文本歌词
老师你好吗
作 词: 车 行
作 曲: 尹铁良
有时候写点啥我总忘不了语法
有时候算点啥我总是能除能加
沿着你的教鞭我走上了书架
我的青春开满了人生的百花
老师你好吗
我还想听听你的普通话
你给伟大评语我又读了
人生的每一个问号我知道如何回答
有时候想点啥总想起你的牵挂
有时候看到你就像看到了妈妈
看着你的黑板我走进了博大
我的事业描绘出人生的风华
老师你好吗你好吗
我真想摸摸你的白头发
你送我的照片我又看了
人生的每一缕亲情我懂得怎样抒发












