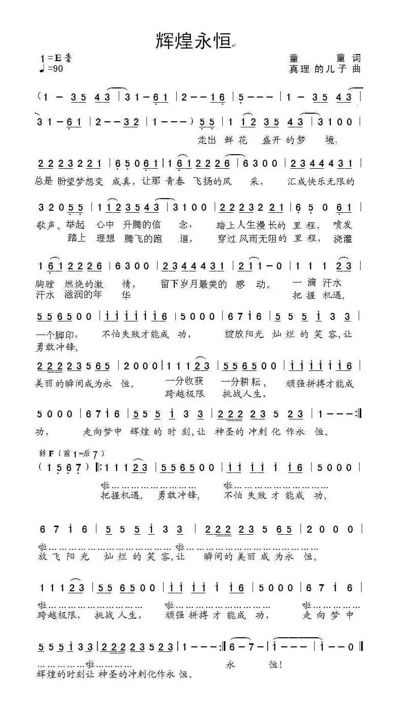
名称:辉煌永恒
国家:中国
作词:童童
作曲:成标
分类:歌谱
子类:民歌谱
类型:简谱
文件格式:jpg
谨以此歌献给那些为人生而拼搏奋斗的健儿们!
MP3试听:http://5sing.kugou.com/yc/340449.html

《辉煌永恒》文本歌词
《辉煌永恒》
作词:童童 作曲编曲演唱制作:真理的儿子
天空飘来吉祥的彩云,赛场闪亮矫健的身影,双手攥紧崇高的信念,看台响起雷鸣的掌声。
目光举起昨天的梦想,胸膛喷发燃烧的激情,头顶升起鲜艳的旗帜,热血浇灌火红的青春。
把握机遇勇敢冲锋,不怕失败才能成功,摘下一梅灿烂的金牌,让瞬间的美丽化作永恒。
跨越极限挑战冠军,顽强拼搏才能成功,走向梦中辉煌的时刻,让神圣的冲剌化作永恒。
天空飘来吉祥的彩云,赛场闪亮矫健的身影,双手攥紧崇高的信念,看台响起雷鸣的掌声。
目光举起昨天的梦想,胸膛喷发燃烧的激情,头顶升起鲜艳的旗帜,热血浇灌火红的青春。
把握机遇勇敢冲锋,不怕失败才能成功,摘下一梅灿烂的金牌,让瞬间的美丽化作永恒。
跨越极限挑战冠军,顽强拼搏才能成功,走向梦中辉煌的时刻,让神圣的冲剌化作永恒。
啦……啦……啦……啦……啦……啦……啦……啦……
把握机遇勇敢冲锋,不怕失败才能成功,摘下一梅灿烂的金牌,让瞬间的美丽化作永恒。
跨越极限挑战冠军,顽强拼搏才能成功,走向梦中辉煌的时刻,让神圣的冲剌化作永恒。
把握机遇勇敢冲锋,不怕失败才能成功,摘下一梅灿烂的金牌,让瞬间的美丽化作永恒。
跨越极限挑战冠军,顽强拼搏才能成功,走向梦中辉煌的时刻,让神圣的冲剌化作永恒。












