
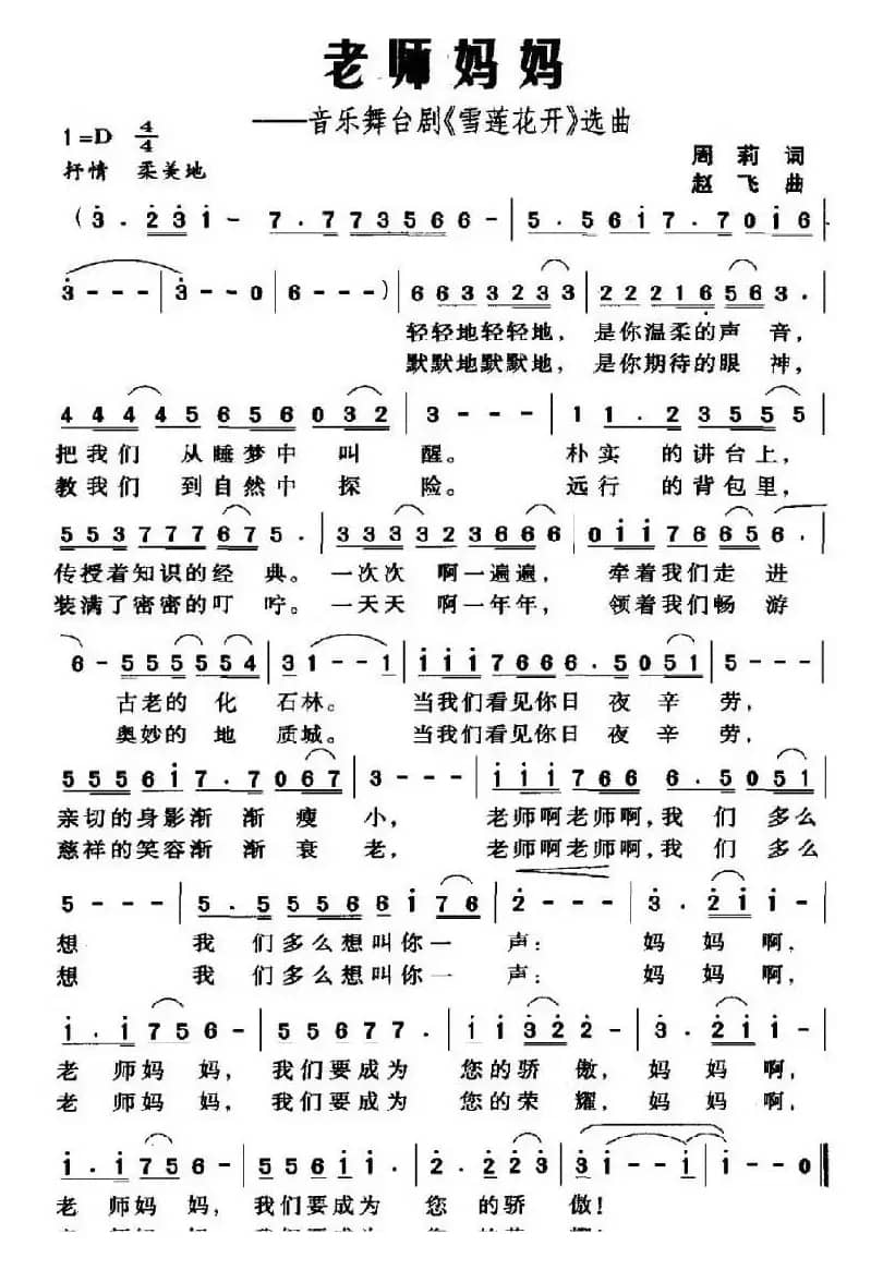
老师妈妈_民歌简谱_词曲:周莉 赵飞简谱歌词是曲谱查询网于2023年01月06日 19:54:27更新在民歌曲谱频道中的内容,收录在民歌曲谱栏目中;曲谱查询网分享的老师妈妈_民歌简谱_词曲:周莉 赵飞简谱五线谱高清图片,欢迎在线免费下载;曲谱查询网无需注册,即可直接下载海量歌曲谱与乐器学习相关资料。
曲谱查询网收录古今中外海量歌曲谱,如歌曲简谱、乐曲五线谱、PDF乐谱、戏曲谱、器乐相关资源下载等,欢迎查阅!

老师妈妈_民歌简谱_词曲:周莉 赵飞简谱歌词是曲谱查询网于2023年01月06日 19:54:27更新在民歌曲谱频道中的内容,收录在民歌曲谱栏目中;曲谱查询网分享的老师妈妈_民歌简谱_词曲:周莉 赵飞简谱五线谱高清图片,欢迎在线免费下载;曲谱查询网无需注册,即可直接下载海量歌曲谱与乐器学习相关资料。
本文分享民歌谱 亲亲鄱阳湖,由朱落心 陈众文 词/曲, 演唱,滨滨 编辑整理…试听地址:http://yc.5sing.com/488931.html伴奏地址:http://yc.5sing.com/488937.html...
197 亲亲鄱阳湖 朱落心 陈众文本文分享民歌谱 你是我的太阳伞(电影《我想有一个梦》片头曲),由义光 曾遂今 词/曲, 演唱,小欢 编辑整理…...
356 你是我的太阳伞 义光 曾遂今| 留言与评论(共有 0 条评论) |
