

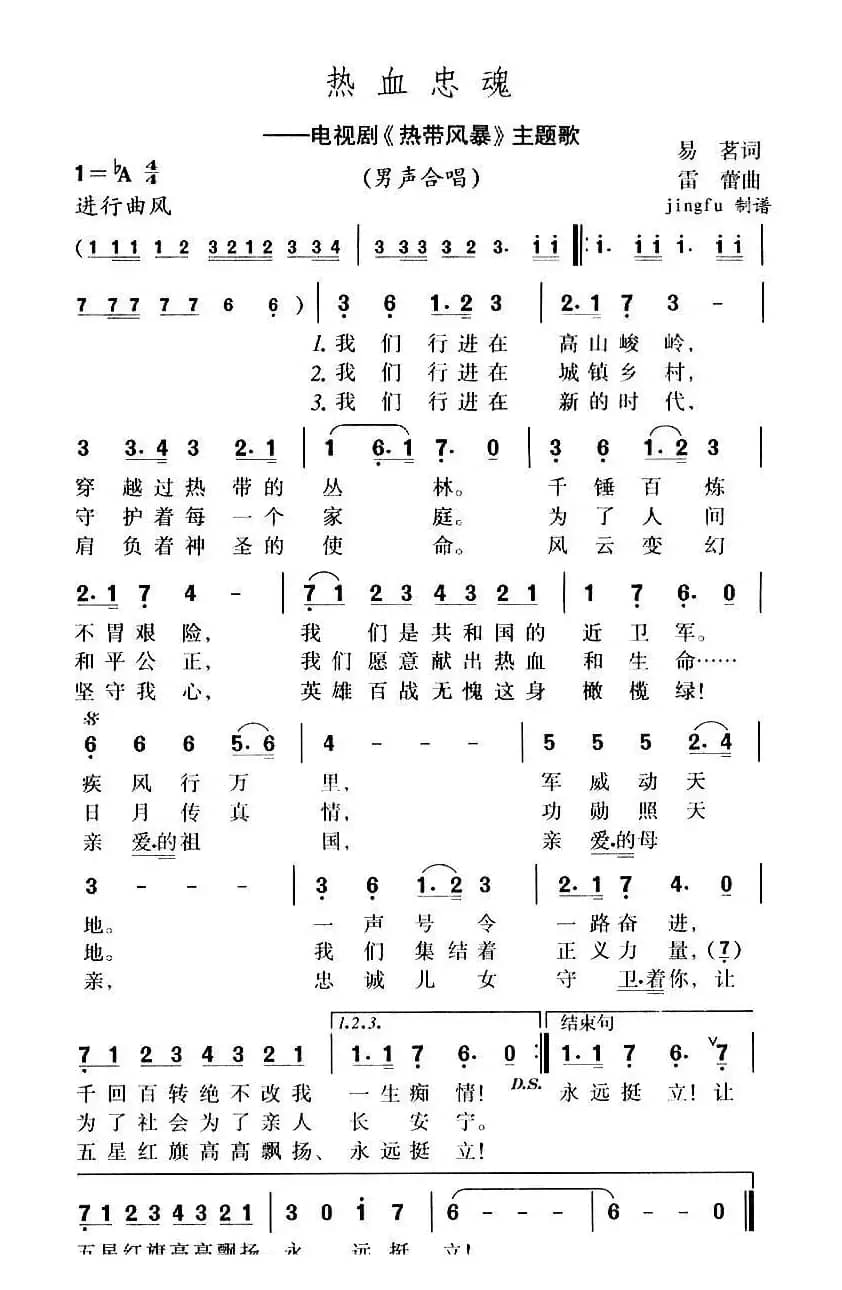
热血忠魂_民歌简谱_词曲:易茗 雷蕾简谱歌词是曲谱查询网于2023年01月07日 19:18:25更新在民歌曲谱频道中的内容,收录在民歌曲谱栏目中;曲谱查询网分享的热血忠魂_民歌简谱_词曲:易茗 雷蕾简谱五线谱高清图片,欢迎在线免费下载;曲谱查询网无需注册,即可直接下载海量歌曲谱与乐器学习相关资料。
曲谱查询网收录古今中外海量歌曲谱,如歌曲简谱、乐曲五线谱、PDF乐谱、戏曲谱、器乐相关资源下载等,欢迎查阅!


热血忠魂_民歌简谱_词曲:易茗 雷蕾简谱歌词是曲谱查询网于2023年01月07日 19:18:25更新在民歌曲谱频道中的内容,收录在民歌曲谱栏目中;曲谱查询网分享的热血忠魂_民歌简谱_词曲:易茗 雷蕾简谱五线谱高清图片,欢迎在线免费下载;曲谱查询网无需注册,即可直接下载海量歌曲谱与乐器学习相关资料。
本文分享民歌谱 等你在即将来临的冬天,由刘新圈 曹惊天 刘跃强 词/曲,喻越越 演唱,金金 编辑整理…《等你在即将来临的冬天》文本歌词喻越越 - 等你在即将来临的冬天词:刘新圈曲:曹惊天/刘跃强过好今天别问明天命运什么时候听你打算窗外风声渐紧才明白海誓山盟抵不过一个臂弯苦海无涯回头无岸多少人在等那条...
514 等你在即将来临的冬天 刘新圈 喻越越本文分享民歌谱 阿里,阿里, 阿里 (陈吉桂词 吴俊毅曲),由陈吉桂 吴俊毅 词/曲, 演唱,修儿 编辑整理…...
1802 阿里 陈吉桂 吴俊毅本文分享民歌谱 家乡赞(赵英杰词 赵英杰曲),由赵英杰 赵英杰 词/曲, 演唱,淼淼 编辑整理…辽宁中部城市“新人新”音乐(原创歌曲)大赛优秀奖...
18 家乡赞 赵英杰本文分享民歌谱 我心永爱(轻歌剧《玉鸟兵站》选曲),由妮南 冯柏铭 王晓岭 张卓娅、王祖皆 词/曲, 演唱,兰兰 编辑整理…在线播放的是陈笠笠演唱版本《我心永爱》文本歌词每一次诀别,总想去去就来,每一次相逢,仿佛永不分开,在命运的风中,我是那渺小尘埃,被往事吹起,又轻轻落进深深的悲哀,我们曾说过,...
1356 我心永爱本文分享民歌谱 太平女神,由云剑 陈铁生 词/曲, 演唱,奕奕 编辑整理…致谢:《曲谱查询网》衷心感谢作者老师馈赠原版歌谱!...
310 太平女神 云剑 陈铁生本文分享民歌谱 一条玉带盘山绕(微型音乐剧《五花进城》曲一),由石玉泉 梅昌建 石玉泉 周友金 张春林 词/曲, 演唱,球球 编辑整理…致谢:《曲谱查询网》衷心感谢作者老师馈赠原版歌谱!《一条玉带盘山绕》文本歌词15.一条玉带盘山绕(微型音乐剧《五花进城》曲一)石玉泉 梅昌建 词石玉泉 周友金 张...
652 一条玉带盘山绕| 留言与评论(共有 0 条评论) |
