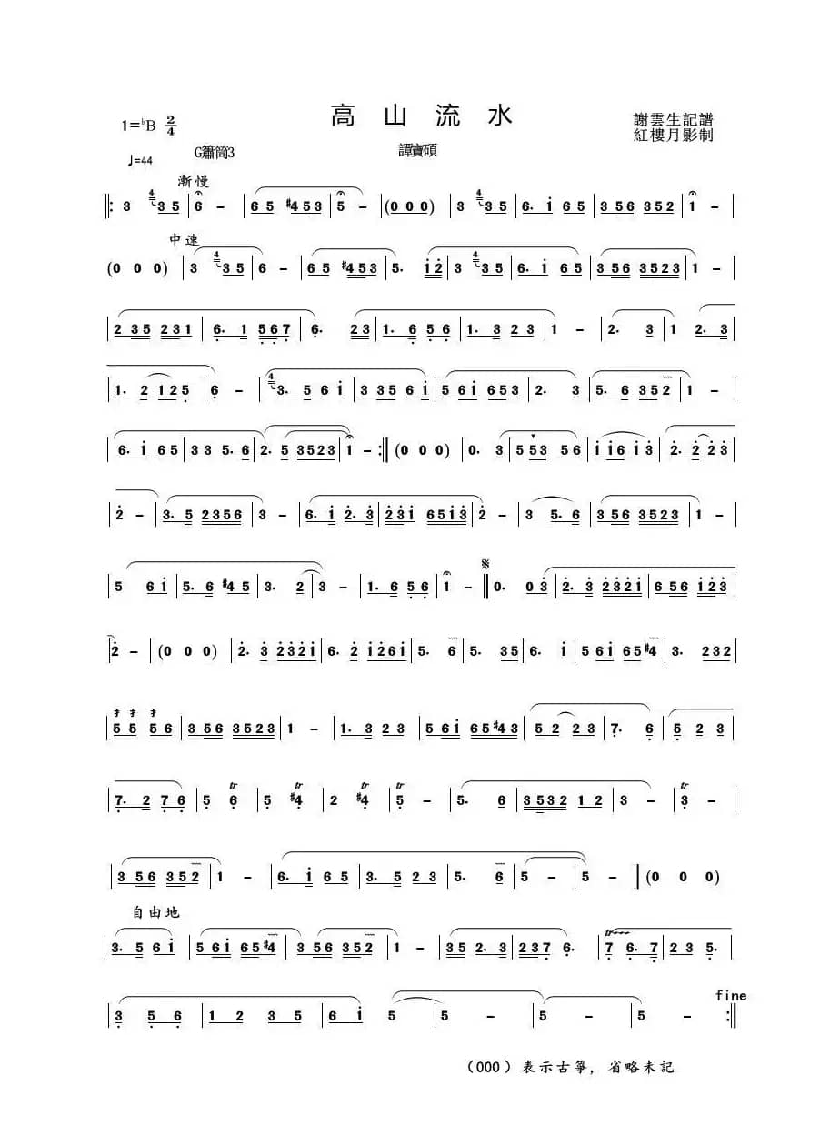
根据朋友提供的手抄谱,整理成适合我吹奏的洞箫谱。

高山流水(洞箫谱)简谱歌词是曲谱查询网于2023年08月05日 07:13:36更新在洞箫谱频道中的内容,收录在洞箫谱栏目中;曲谱查询网分享的高山流水(洞箫谱)简谱五线谱高清图片,欢迎在线免费下载;曲谱查询网无需注册,即可直接下载海量歌曲谱与乐器学习相关资料。
曲谱查询网收录古今中外海量歌曲谱,如歌曲简谱、乐曲五线谱、PDF乐谱、戏曲谱、器乐相关资源下载等,欢迎查阅!
根据朋友提供的手抄谱,整理成适合我吹奏的洞箫谱。

高山流水(洞箫谱)简谱歌词是曲谱查询网于2023年08月05日 07:13:36更新在洞箫谱频道中的内容,收录在洞箫谱栏目中;曲谱查询网分享的高山流水(洞箫谱)简谱五线谱高清图片,欢迎在线免费下载;曲谱查询网无需注册,即可直接下载海量歌曲谱与乐器学习相关资料。
本文分享笛箫乐谱 笛箫五级考级曲目:乐曲(1——4),来源 曲谱查询网, 词/曲, 演奏/唱,方方 编辑整理…...
1825 竹笛谱 笛子乐谱 笛箫五级考级曲目 乐曲本文分享笛箫乐谱 花花六板(箫),来源 谱友丝竹常清上传, 张晓峰 词/曲,江苏太仓五洋丝竹乐团 演奏/唱,小薏米 编辑整理…...
2441 竹笛谱 笛子乐谱 花花六板 张晓峰 江苏太仓五洋丝竹乐团本文分享笛箫乐谱 笛箫四级考级曲目:乐曲(1——7),来源 曲谱查询网, 词/曲, 演奏/唱,Edinburgh° 编辑整理…...
339 竹笛谱 笛子乐谱 笛箫四级考级曲目 乐曲本文分享笛箫乐谱 苗岭的早晨(箫),来源 转自《箫雅集》论坛, 白诚仁 词/曲, 演奏/唱,小贝 编辑整理…《苗岭的早晨》是由白诚仁创作的一首口笛乐曲。最早由俞逊发“原创”演奏,后又被改编成多种器乐独奏曲。乐曲以明朗清新的旋律,描绘出苗族山寨春意盎然的美丽风光;又以明快、热烈的劳动节奏,表现苗族人民...
2258 竹笛谱 笛子乐谱 苗岭的早晨 白诚仁| 留言与评论(共有 0 条评论) |
