
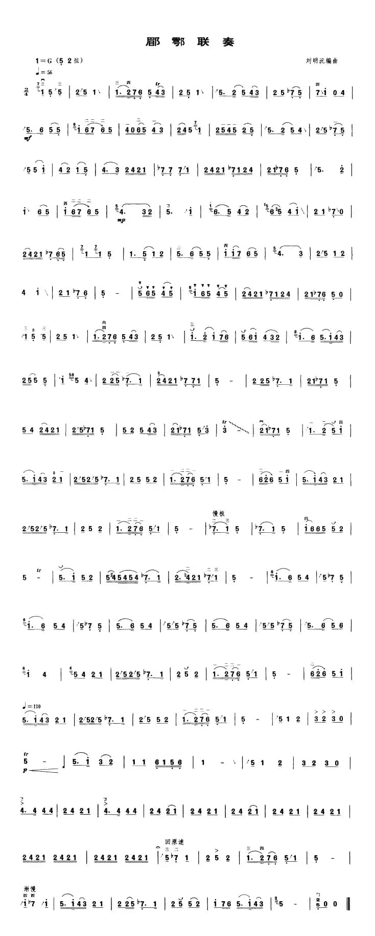
二胡谱 | 郿鄠联奏简谱歌词是曲谱查询网于2023年08月05日 09:04:08更新在二胡谱频道中的内容,收录在二胡谱栏目中;曲谱查询网分享的二胡谱 | 郿鄠联奏简谱五线谱高清图片,欢迎在线免费下载;曲谱查询网无需注册,即可直接下载海量歌曲谱与乐器学习相关资料。
曲谱查询网收录古今中外海量歌曲谱,如歌曲简谱、乐曲五线谱、PDF乐谱、戏曲谱、器乐相关资源下载等,欢迎查阅!

二胡谱 | 郿鄠联奏简谱歌词是曲谱查询网于2023年08月05日 09:04:08更新在二胡谱频道中的内容,收录在二胡谱栏目中;曲谱查询网分享的二胡谱 | 郿鄠联奏简谱五线谱高清图片,欢迎在线免费下载;曲谱查询网无需注册,即可直接下载海量歌曲谱与乐器学习相关资料。
本文分享胡琴乐谱 切分弓练习(中国二胡考级规定演奏曲-七级),来源 金色风铃曲谱网, 词/曲, 演奏/唱,嘟嘟 编辑整理…...
2473 二胡谱 二胡乐谱 切分弓练习本文分享胡琴乐谱 二胡26弦练习曲2首,来源 转自《演奏家乐谱》, 词/曲, 演奏/唱,徵徵 编辑整理…商调式与快弓练习...
2029 二胡谱 二胡乐谱 二胡26弦练习曲2首本文分享胡琴乐谱 愿亲人早日养好伤(二胡二重奏),来源 谱友gybglwj 上传《搜谱网》, 词/曲, 演奏/唱,小九 编辑整理…...
1356 二胡谱 二胡乐谱 愿亲人早日养好伤本文分享胡琴乐谱 真的好想你(二胡曲谱、A调、章祥兴制谱版),来源 章祥兴制谱, 李汉颖 词/曲, 演奏/唱,承承 编辑整理…...
234 二胡谱 二胡乐谱 真的好想你 李汉颖本文分享胡琴乐谱 大寨红花遍地开(二胡与笛子主旋合成谱),来源 曲谱查询网, 许镜清 词/曲,黑山慈善协会艺术团乐队 演奏/唱,鱼苗 编辑整理…...
1069 二胡谱 二胡乐谱 大寨红花遍地开 许镜清 黑山慈善协会艺术团乐队本文分享胡琴乐谱 河南小曲(琴不自禁制谱版),来源 琴不自禁制谱, 刘明源 词/曲, 演奏/唱,红布林 编辑整理…...
1212 二胡谱 二胡乐谱 河南小曲 刘明源本文分享胡琴乐谱 青青河边草(同名电视剧主题曲),来源 转自《金色风铃曲谱网》, 词/曲, 演奏/唱,淘气 编辑整理…...
1234 二胡谱 二胡乐谱 青青河边草本文分享胡琴乐谱 篱笆墙的影子(电视剧《篱笆·女人和狗》主题曲),来源 《曲谱查询网》, 词/曲, 演奏/唱,大贝 编辑整理…...
29 二胡谱 二胡乐谱 篱笆墙的影子本文分享胡琴乐谱 月亮,来源 转自《演奏家乐谱》, 卓夫 词/曲, 演奏/唱,小飞鱼 编辑整理…第一把位D大调,儿童简单二胡乐曲。...
1108 二胡谱 二胡乐谱 月亮 卓夫| 留言与评论(共有 0 条评论) |
