
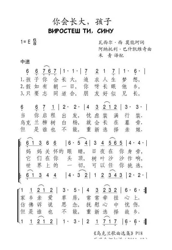
你会长大,孩子_歌谱投稿_词曲:简谱歌词是曲谱查询网于2023年04月01日 09:14:13更新在曲谱投稿频道中的内容,收录在曲谱投稿栏目中;曲谱查询网分享的你会长大,孩子_歌谱投稿_词曲:简谱五线谱高清图片,欢迎在线免费下载;曲谱查询网无需注册,即可直接下载海量歌曲谱与乐器学习相关资料。
曲谱查询网收录古今中外海量歌曲谱,如歌曲简谱、乐曲五线谱、PDF乐谱、戏曲谱、器乐相关资源下载等,欢迎查阅!

你会长大,孩子_歌谱投稿_词曲:简谱歌词是曲谱查询网于2023年04月01日 09:14:13更新在曲谱投稿频道中的内容,收录在曲谱投稿栏目中;曲谱查询网分享的你会长大,孩子_歌谱投稿_词曲:简谱五线谱高清图片,欢迎在线免费下载;曲谱查询网无需注册,即可直接下载海量歌曲谱与乐器学习相关资料。
本文展示由谱友叶金剑上传记谱的歌谱 放风筝的少年(邹毅词 牟学农 程春春曲、童声独唱),词/曲 邹毅 牟学农 程春春,演唱 …欢迎免费试听放风筝的少年(邹毅词 牟学农 程春春曲、童声独唱)乐曲,下载歌曲的乐谱与伴奏。...
105 放风筝的少年 邹毅本文分享来自 秋叶起舞 的歌谱 我是揭阳好娃娃(少儿歌曲),词/曲 王铁栓 张艺军,演唱 …欢迎免费下载我是揭阳好娃娃(少儿歌曲)乐谱、乐曲、伴奏,...
296 我是揭阳好娃娃 王铁栓 张艺军本文展示由桃李醉春风记谱记谱的歌谱 爱像首寂寞的歌,词/曲 谌贵喜 张锦华,演唱 晨熙 司徒兰芳…欢迎免费试听爱像首寂寞的歌乐曲,下载歌曲的乐谱与伴奏。《爱像首寂寞的歌》文本歌词爱像首寂寞的歌演唱:晨熙司徒兰芳作词:谌贵喜作曲:张锦华早知没结果 当初不应该沦落空虚两颗心 按捺不了的寂寞我们都没错是缘...
402 爱像首寂寞的歌 谌贵喜本文分享来自 范曙光(方宸) 的歌谱 人民需要你,词/曲 朱伟坚 范曙光,演唱 …欢迎免费下载人民需要你乐谱、乐曲、伴奏,...
646 人民需要你 朱伟坚 范曙光本文展示由秋叶起舞 记谱上传记谱的歌谱 爱上草原,词/曲 彭高军 彭高军,演唱 小琴儿…欢迎免费试听爱上草原乐曲,下载歌曲的乐谱与伴奏。试听地址:http://yc.5sing.com/446385.html爱上草原男伴奏:http://bz.5sing.com/436344.html爱上草原女...
436 爱上草原 彭高军 彭高军小琴儿本文展示由依曲谱查询网中作者手稿制谱记谱的歌谱 回草原(紫竹心词 张联通曲),词/曲 紫竹心 张联通,演唱 罗锡贵…欢迎免费试听回草原(紫竹心词 张联通曲)乐曲,下载歌曲的乐谱与伴奏。...
334 回草原 紫竹心 张联通罗锡贵本文分享来自 刘永胜lys 的歌谱 远方到底有多远,词/曲 雷子明 刘永胜,演唱 …欢迎免费下载远方到底有多远乐谱、乐曲、伴奏,...
1004 远方到底有多远 雷子明 刘永胜本文分享来自 玉兔临风 的歌谱 可可托海的牧羊人,词/曲 王琪 王琪,演唱 王琪…欢迎免费下载可可托海的牧羊人乐谱、乐曲、伴奏,可可托海的牧羊人,一曲老少都喜爱的歌曲。网络上本来已经有了,不过感觉谱面都比较挤,于是花了点时间重新制作,希望可以让朋友们看得更新楚些。《可可托海的牧羊人》文本歌词那夜的雨...
96 可可托海的牧羊人 王琪本文展示由抄录记谱的歌谱 《赵氏孤儿》我魏降闻此言如梦方醒(京剧《赵氏孤儿》选段、琴谱),词/曲 ,演唱 …欢迎免费试听《赵氏孤儿》我魏降闻此言如梦方醒(京剧《赵氏孤儿》选段、琴谱)乐曲,下载歌曲的乐谱与伴奏。...
410 赵氏孤儿我魏降闻此言如梦方醒本文分享来自 燕子 的歌谱 喀什噶尔的河(蒋燕 词曲),词/曲 蒋燕,词 蒋燕 曲,演唱 …欢迎免费下载喀什噶尔的河(蒋燕 词曲)乐谱、乐曲、伴奏,《喀什噶尔的河》文本歌词 喀什噶尔的河、时时泛着清波; 穿过连绵沙漠、绿遍荒野山坡。 喀什噶尔的河、时时飘着牧歌; 陶醉春花秋月,...
65 喀什噶尔的河 蒋燕 词本文分享来自 天恩 的歌谱 圣水湖畔插曲-太平年,词/曲 何庆魁 杨柏森,演唱 张波…欢迎免费下载圣水湖畔插曲-太平年乐谱、乐曲、伴奏,《圣水湖畔插曲-太平年》文本歌词太平年电视剧《圣水湖畔》插曲演唱:张波作词:何庆魁作曲:杨柏森鞭炮声声震九天浪花笑来五谷欢科技兴农千家乐政通人和万民欢哎嗨哟哎嗨哟好...
916 圣水湖畔插曲-太平年 何庆魁 杨柏森 张波本文展示由神仙姐姐记谱记谱的歌谱 别把爱情当游戏,词/曲 幽灵 幽灵,演唱 石雪峰…欢迎免费试听别把爱情当游戏乐曲,下载歌曲的乐谱与伴奏。...
585 别把爱情当游戏 幽灵 幽灵石雪峰本文展示由Z.E.Z.记谱制作记谱的歌谱 海峡月光曲,词/曲 张作兴 魏德泮 徐沛东,演唱 …欢迎免费试听海峡月光曲乐曲,下载歌曲的乐谱与伴奏。...
887 海峡月光曲 徐沛东本文分享来自 沉香21 的歌谱 有志青年回乡来,词/曲 陈陶 陈志昂,演唱 …欢迎免费下载有志青年回乡来乐谱、乐曲、伴奏,...
457 有志青年回乡来 陈陶 陈志昂本文展示由桃李醉春风记谱记谱的歌谱 陪你到世界的终结,词/曲 ,演唱 棉花糖…欢迎免费试听陪你到世界的终结乐曲,下载歌曲的乐谱与伴奏。...
176 陪你到世界的终结棉花糖| 留言与评论(共有 0 条评论) |
