

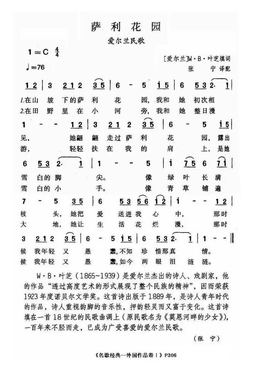
萨利花园_歌谱投稿_词曲:简谱歌词是曲谱查询网于2023年04月04日 03:42:11更新在曲谱投稿频道中的内容,收录在曲谱投稿栏目中;曲谱查询网分享的萨利花园_歌谱投稿_词曲:简谱五线谱高清图片,欢迎在线免费下载;曲谱查询网无需注册,即可直接下载海量歌曲谱与乐器学习相关资料。
曲谱查询网收录古今中外海量歌曲谱,如歌曲简谱、乐曲五线谱、PDF乐谱、戏曲谱、器乐相关资源下载等,欢迎查阅!


萨利花园_歌谱投稿_词曲:简谱歌词是曲谱查询网于2023年04月04日 03:42:11更新在曲谱投稿频道中的内容,收录在曲谱投稿栏目中;曲谱查询网分享的萨利花园_歌谱投稿_词曲:简谱五线谱高清图片,欢迎在线免费下载;曲谱查询网无需注册,即可直接下载海量歌曲谱与乐器学习相关资料。
本文分享来自 后中老庄 的歌谱 月光穿树片片碎(黄梅戏《啼笑姻缘》选段),词/曲 ,演唱 …欢迎免费下载 月光穿树片片碎(黄梅戏《啼笑姻缘》选段)乐谱、乐曲、伴奏,...
274 月光穿树片片碎本文展示由神仙姐姐记谱记谱的歌谱 在这离别时候,词/曲 琼瑶 古巨基,演唱 古巨基…欢迎免费试听在这离别时候乐曲,下载歌曲的乐谱与伴奏。...
127 在这离别时候 琼瑶 古巨基古巨基本文分享来自 众乐音圈 的歌谱 烟雨行舟(双指琴卡林巴琴简谱),词/曲 Bye Bye,演唱 伦桑…欢迎免费下载烟雨行舟(双指琴卡林巴琴简谱)乐谱、乐曲、伴奏,《烟雨行舟》文本歌词烟雨入江南山水如墨染宛若丹青未干提笔然 点欲穿行舟临秀川画鷁推清澜缱绻怡然天色沉靛蓝波光似锦缎缀着零星白帆诗情满 千卷难...
839 烟雨行舟 bye 伦桑本文分享来自 sclwfy 的歌谱 当我想你的时候,词/曲 金大中 金大中,演唱 …欢迎免费下载当我想你的时候乐谱、乐曲、伴奏,...
568 当我想你的时候 金大中本文分享来自 天问地李 的歌谱 天堂牧歌,词/曲 康金志/韩平 歌奴,演唱 醉美…欢迎免费下载天堂牧歌乐谱、乐曲、伴奏,《天堂牧歌》文本歌词温柔的春风轻轻吹过来,吹来天边一片绿色的海,我在你美丽的传说中日夜等待,等待那火红的萨日朗为我盛开。美丽的草原啊我的天堂,我是你怀抱里幸福的牛羊,依偎着青草香匍...
930 天堂牧歌 歌奴 醉美本文分享来自 qzgxy 的歌谱 旗帜更鲜艳,词/曲 张金豹 印青,演唱 谭晶…欢迎免费下载旗帜更鲜艳乐谱、乐曲、伴奏,...
888 旗帜更鲜艳 张金豹 印青 谭晶本文分享来自 古绛郎中 的歌谱 脸咋这么厚,词/曲 贰强、艺风 多剑平,演唱 刘妍…欢迎免费下载脸咋这么厚乐谱、乐曲、伴奏,...
392 脸咋这么厚 多剑平 刘妍本文分享来自 曲谱zmd168 的歌谱 好预兆(灵丽演唱版),词/曲 不详 不详,演唱 灵丽…欢迎免费下载好预兆(灵丽演唱版)乐谱、乐曲、伴奏,...
476 好预兆 不详 灵丽本文分享来自 青山123 的歌谱 离情草原上,词/曲 李会泉 孙成芳,演唱 丁春秀…欢迎免费下载离情草原上乐谱、乐曲、伴奏,...
529 离情草原上 李会泉 孙成芳 丁春秀本文展示由桃李醉春风记谱记谱的歌谱 我不再是你疼爱的人,词/曲 绿柳 徐连国,演唱 宋娜…欢迎免费试听我不再是你疼爱的人乐曲,下载歌曲的乐谱与伴奏。...
924 我不再是你疼爱的人 绿柳 徐连国 宋娜| 留言与评论(共有 0 条评论) |
