
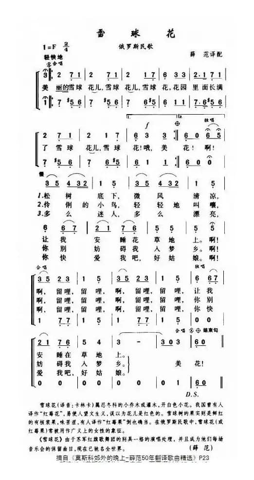
雪球花_歌谱投稿_词曲:简谱歌词是曲谱查询网于2023年04月04日 07:52:52更新在曲谱投稿频道中的内容,收录在曲谱投稿栏目中;曲谱查询网分享的雪球花_歌谱投稿_词曲:简谱五线谱高清图片,欢迎在线免费下载;曲谱查询网无需注册,即可直接下载海量歌曲谱与乐器学习相关资料。
曲谱查询网收录古今中外海量歌曲谱,如歌曲简谱、乐曲五线谱、PDF乐谱、戏曲谱、器乐相关资源下载等,欢迎查阅!

雪球花_歌谱投稿_词曲:简谱歌词是曲谱查询网于2023年04月04日 07:52:52更新在曲谱投稿频道中的内容,收录在曲谱投稿栏目中;曲谱查询网分享的雪球花_歌谱投稿_词曲:简谱五线谱高清图片,欢迎在线免费下载;曲谱查询网无需注册,即可直接下载海量歌曲谱与乐器学习相关资料。
本文分享来自 秋叶起舞 的歌谱 做人法则,词/曲 蒋满堂 张艺军,演唱 …欢迎免费下载做人法则乐谱、乐曲、伴奏,致谢:《曲谱查询网》衷心感谢作者老师馈赠原版歌谱!...
887 做人法则 蒋满堂 张艺军本文分享来自 神仙姐姐 的歌谱 雨下一整晚,词/曲 方文山 周杰伦,演唱 周杰伦…欢迎免费下载雨下一整晚乐谱、乐曲、伴奏,...
533 雨下一整晚 方文山 周杰伦本文展示由sunzp制谱记谱的歌谱 阳光路上(甲丁 王晓岭词 张宏光曲、合唱),词/曲 甲丁 王晓岭 张宏光,演唱 …欢迎免费试听阳光路上(甲丁 王晓岭词 张宏光曲、合唱)乐曲,下载歌曲的乐谱与伴奏。《阳光路上》文本歌词走过了春和秋 走在阳光路上花儿用笑脸告诉我 天空好晴朗多少追梦的身影 奔跑着拥抱...
303 阳光路上 张宏光本文展示由桃李醉春风记谱记谱的歌谱 终点(张敬轩词 周传雄曲),词/曲 张敬轩 周传雄,演唱 关心妍…欢迎免费试听终点(张敬轩词 周传雄曲)乐曲,下载歌曲的乐谱与伴奏。...
730 终点 张敬轩 周传雄关心妍本文展示由Z.E.Z.记谱制作记谱的歌谱 芦花,词/曲 贺东久 印青,演唱 阎维文 雷佳…欢迎免费试听芦花乐曲,下载歌曲的乐谱与伴奏。...
239 芦花 贺东久 印青 雷佳本文展示由寒欣制谱记谱的歌谱 水调歌头([宋]苏轼 词 聂思聪曲),词/曲 [宋]苏轼 聂思聪,演唱 …欢迎免费试听水调歌头([宋]苏轼 词 聂思聪曲)乐曲,下载歌曲的乐谱与伴奏。...
363 水调歌头 [宋]苏轼 聂思聪本文展示由桃李醉春风记谱记谱的歌谱 贪恋红尘,词/曲 张纹铭 张纹铭,演唱 张纹铭…欢迎免费试听贪恋红尘乐曲,下载歌曲的乐谱与伴奏。...
56 贪恋红尘 张纹铭 张纹铭张纹铭本文分享来自 湖中微澜 的歌谱 那片红叶,词/曲 李牧雨 赵小毅,演唱 顾文梦…欢迎免费下载那片红叶乐谱、乐曲、伴奏,...
798 那片红叶 李牧雨 赵小毅 顾文梦本文分享来自 韩瑶 的歌谱 红色基因薪火相传,词/曲 申大局 韩瑶,演唱 …欢迎免费下载红色基因薪火相传乐谱、乐曲、伴奏,...
45 红色基因薪火相传 申大局 韩瑶本文分享来自 花城粤乐社 的歌谱 月映鹅潭(广东音乐小组奏),词/曲 卜灿荣,演唱 花城粤乐社…欢迎免费下载月映鹅潭(广东音乐小组奏)乐谱、乐曲、伴奏,...
660 月映鹅潭 卜灿荣 花城粤乐社本文分享来自 观海听涛451 的歌谱 东江恋,词/曲 刘水平 吴华栋,演唱 崔来宾…欢迎免费下载东江恋乐谱、乐曲、伴奏,这是一首民族男高音独唱歌曲,原唱由著名男高音歌手崔来宾演唱。2019年9月7日由磐时唱片陆续向全球发行。《东江恋》简介东江是珠江流域三大水系之一,发源于江西省。东江是香港特区以及广...
458 东江恋 刘水平 吴华栋 崔来宾本文分享来自 大连家乡好 的歌谱 我把你比作朝霞я назову тебя зоренькой(中俄简谱),词/曲 维· 博柯夫 格· 波诺玛伦珂,演唱 中俄字幕电影版原唱…欢迎免费下载我把你比作朝霞я назову тебя зоренькой(中俄简谱)乐谱、乐曲、伴奏,...
182 中俄字幕电影版原唱本文展示由秋叶起舞 记谱上传记谱的歌谱 江山就是老百姓(雷子明词 任秀岭曲),词/曲 ,演唱 王莹(伊人家乡)…欢迎免费试听江山就是老百姓(雷子明词 任秀岭曲)乐曲,下载歌曲的乐谱与伴奏。试听地址:http://yc.5sing.com/233540.html...
394 江山就是老百姓 王莹| 留言与评论(共有 0 条评论) |
