![[日]森林水车](http://img1.qpcxw.com/uploads/images/yuepu/011/ul2jjwzwnnz.webp)
![[日]森林水车](http://img1.qpcxw.com/uploads/images/yuepu/011/xwaroecie2s.webp)
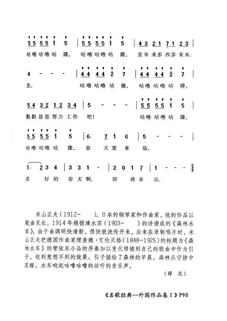
[日]森林水车_歌谱投稿_词曲:简谱歌词是曲谱查询网于2023年04月04日 18:58:10更新在曲谱投稿频道中的内容,收录在曲谱投稿栏目中;曲谱查询网分享的[日]森林水车_歌谱投稿_词曲:简谱五线谱高清图片,欢迎在线免费下载;曲谱查询网无需注册,即可直接下载海量歌曲谱与乐器学习相关资料。
曲谱查询网收录古今中外海量歌曲谱,如歌曲简谱、乐曲五线谱、PDF乐谱、戏曲谱、器乐相关资源下载等,欢迎查阅!
![[日]森林水车](http://img1.qpcxw.com/uploads/images/yuepu/011/ul2jjwzwnnz.webp)
![[日]森林水车](http://img1.qpcxw.com/uploads/images/yuepu/011/xwaroecie2s.webp)
[日]森林水车_歌谱投稿_词曲:简谱歌词是曲谱查询网于2023年04月04日 18:58:10更新在曲谱投稿频道中的内容,收录在曲谱投稿栏目中;曲谱查询网分享的[日]森林水车_歌谱投稿_词曲:简谱五线谱高清图片,欢迎在线免费下载;曲谱查询网无需注册,即可直接下载海量歌曲谱与乐器学习相关资料。
本文展示由桃李醉春风记谱记谱的歌谱 春暖花开(梁芒词 洪兵曲),词/曲 梁芒 洪兵,演唱 那英…欢迎免费试听春暖花开(梁芒词 洪兵曲)乐曲,下载歌曲的乐谱与伴奏。...
124 春暖花开 梁芒 洪兵那英本文展示由桃李醉春风记谱记谱的歌谱 鼓楼天歌,词/曲 玉镯儿 浮克,演唱 杨西音子…欢迎免费试听鼓楼天歌乐曲,下载歌曲的乐谱与伴奏。...
865 鼓楼天歌 玉镯儿 浮克杨西音子本文展示由秋叶起舞 记谱上传记谱的歌谱 雁南飞(陈星 词曲),词/曲 陈星 陈星,演唱 陈星…欢迎免费试听雁南飞(陈星 词曲)乐曲,下载歌曲的乐谱与伴奏。试听链接地址:http://www.cjs569px.3326.net/images/CXDG/%D1%E3%C4%CF%B7%C9.mp3...
965 雁南飞 陈星 陈星陈星本文分享来自 意寓云天 的歌谱 美丽的神话(电影《神话》主题曲),词/曲 王中言 催崔俊荣,演唱 金喜善 成龙…欢迎免费下载美丽的神话(电影《神话》主题曲)乐谱、乐曲、伴奏,带歌词葫芦丝谱,如果需要更清晰的,可以联系我,留言或留邮箱,我会发给你。...
630 美丽的神话 王中言 催崔俊荣本文分享来自 覃新明 的歌谱 拥抱祖国(周廷发词 覃新明曲),词/曲 周廷发 覃新明,演唱 …欢迎免费下载拥抱祖国(周廷发词 覃新明曲)乐谱、乐曲、伴奏,...
708 拥抱祖国 周廷发 覃新明 祖国本文展示由桃李醉春风记谱记谱的歌谱 时光不老 我们不散,词/曲 宵上淇 宵上淇,演唱 雨宗林…欢迎免费试听时光不老 我们不散乐曲,下载歌曲的乐谱与伴奏。《时光不老 我们不散》文本歌词时光不老 我们不散 - 雨宗林词:宵上淇曲:宵上淇编曲:余雷录音:余雷缩混:余雷制作人:余雷、宵上淇忘了归还的橡皮没有...
89 宵上淇 宵上淇雨宗林本文分享来自 神仙姐姐 的歌谱 珍惜(闽南语演唱),词/曲 杰米 杰米,演唱 龙千玉…欢迎免费下载珍惜(闽南语演唱)乐谱、乐曲、伴奏,...
179 珍惜 杰米 龙千玉本文分享来自 王wen7780 的歌谱 第五十二曲梅郎与紫薇对话音乐(歌剧《盐神》选段),词/曲 廖时香 韩万斋,演唱 自贡市歌舞剧团…欢迎免费下载第五十二曲梅郎与紫薇对话音乐(歌剧《盐神》选段)乐谱、乐曲、伴奏,...
93 第五十二曲梅郎与紫薇对话音乐 廖时香 韩万斋 自贡市歌舞剧团本文展示由桃李醉春风记谱记谱的歌谱 岭上公主,词/曲 李玉刚 韩雷,演唱 李玉刚…欢迎免费试听岭上公主乐曲,下载歌曲的乐谱与伴奏。...
650 岭上公主 李玉刚 韩雷李玉刚本文分享来自 吴海波 的歌谱 请到拉萨来做客,词/曲 吴海波 吴海波,演唱 …欢迎免费下载请到拉萨来做客乐谱、乐曲、伴奏,...
574 请到拉萨来做客 吴海波本文分享来自 罗林斯乐器 的歌谱 亲密爱人,词/曲 小虫 谱曲:小虫;编曲:王治平,演唱 梅艳芳…欢迎免费下载亲密爱人乐谱、乐曲、伴奏,...
765 亲密爱人 小虫 谱曲:小虫;编曲:王治平 梅艳芳本文分享来自 张宏笛子 的歌谱 心恋(葫芦丝演奏提示版),词/曲 ,演唱 …欢迎免费下载心恋(葫芦丝演奏提示版)乐谱、乐曲、伴奏,心恋: 伴奏+示范+曲谱三件套下载...
972 心恋本文分享来自 豪情满怀@ 的歌谱 野菊黄(月明词 前世曲),词/曲 月明 前世,演唱 风语…欢迎免费下载野菊黄(月明词 前世曲)乐谱、乐曲、伴奏,《野菊黄》文本歌词《野菊黄》作词:月明作曲:前世编曲:琴圣演唱:风语那年我离开家乡你送我一朵野菊黄微风轻轻诉说离殇回首你在小河旁带着这朵野菊黄我走过了许多...
13 野菊黄 月明 前世 风语| 留言与评论(共有 0 条评论) |
