
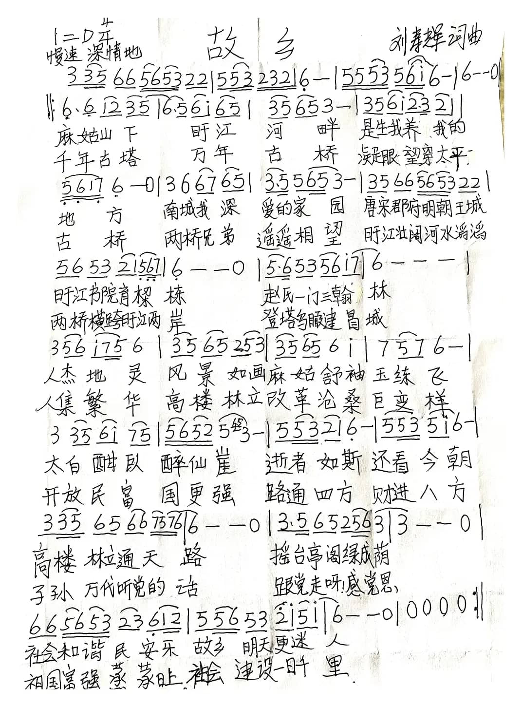
故乡_歌谱投稿_词曲:简谱歌词是曲谱查询网于2023年04月12日 22:31:16更新在曲谱投稿频道中的内容,收录在曲谱投稿栏目中;曲谱查询网分享的故乡_歌谱投稿_词曲:简谱五线谱高清图片,欢迎在线免费下载;曲谱查询网无需注册,即可直接下载海量歌曲谱与乐器学习相关资料。
曲谱查询网收录古今中外海量歌曲谱,如歌曲简谱、乐曲五线谱、PDF乐谱、戏曲谱、器乐相关资源下载等,欢迎查阅!

故乡_歌谱投稿_词曲:简谱歌词是曲谱查询网于2023年04月12日 22:31:16更新在曲谱投稿频道中的内容,收录在曲谱投稿栏目中;曲谱查询网分享的故乡_歌谱投稿_词曲:简谱五线谱高清图片,欢迎在线免费下载;曲谱查询网无需注册,即可直接下载海量歌曲谱与乐器学习相关资料。
本文分享来自 牧歌《图画之声》 的歌谱 小河(牧歌词 门子曲),词/曲 牧歌 门子,演唱 …欢迎免费下载小河(牧歌词 门子曲)乐谱、乐曲、伴奏,《小河》文本歌词小 河优美、幻丽、浪漫地作者:牧 歌小河啊小河,从我心中流过……掀起晶莹的浪花,迭现美丽的笑涡;流向那知识的海洋,优育那智慧的花果。啊,小河...
345 小河 牧歌 门子本文分享来自 孙树森原创歌曲 的歌谱 地久天长(婚礼歌),词/曲 李长松 孙树森,演唱 沁心小筑烟圈…欢迎免费下载地久天长(婚礼歌)乐谱、乐曲、伴奏,...
199 地久天长 李长松 孙树森 沁心小筑烟圈本文分享来自 任善炯 的歌谱 荆江岸边桃花红,词/曲 任善炯 刘小贤,演唱 张想想…欢迎免费下载荆江岸边桃花红乐谱、乐曲、伴奏,...
351 荆江岸边桃花红 任善炯 刘小贤 张想想本文分享来自 秋叶起舞 的歌谱 草原新娘,词/曲 高岩 何启安,演唱 …欢迎免费下载草原新娘乐谱、乐曲、伴奏,致谢:《曲谱查询网》衷心感谢作者老师馈赠原版歌谱!...
767 草原新娘 高岩 何启安本文分享来自 秋叶起舞 的歌谱 放歌羊角塘,词/曲 瞿美云 张艺军,演唱 靳莹 袁冰…欢迎免费下载放歌羊角塘乐谱、乐曲、伴奏,致谢:《曲谱查询网》衷心感谢作者老师馈赠原版歌谱!MP3试听:http://5sing.kugou.com/yc/3357299.html《放歌羊角塘》文本歌词放歌羊角塘作...
650 放歌羊角塘 瞿美云 张艺军本文分享来自 姚shikang 的歌谱 人面桃花,词/曲 (唐),崔护 姚世康,演唱 …欢迎免费下载人面桃花乐谱、乐曲、伴奏,唐诗“人面桃花”’的诗意是:上一年,诗人郊游,在一户人家偶遇一少女。在桃花的映照下,少女的脸庞红润美丽。第二年,诗人再去郊游,却再也不见少女了,只有桃花,依旧在春风中灿烂开放...
437 人面桃花 (唐) 崔护 姚世康本文分享来自 高音教 的歌谱 《李白》吉他谱扫弦特别版 李荣浩 高音教编配 猴哥吉他教学,词/曲 ,演唱 …欢迎免费下载《李白》吉他谱扫弦特别版 李荣浩 高音教编配 猴哥吉他教学乐谱、乐曲、伴奏,...
469本文展示由秋叶起舞 记谱上传记谱的歌谱 大高原(赵彪词 郭永利曲),词/曲 赵彪 郭永利,演唱 乌兰托娅…欢迎免费试听大高原(赵彪词 郭永利曲)乐曲,下载歌曲的乐谱与伴奏。...
12 大高原 赵彪 郭永利 乌兰托娅本文分享来自 秋叶起舞 的歌谱 有一个梦想真好,词/曲 王东明 张艺军,演唱 叶俊华…欢迎免费下载有一个梦想真好乐谱、乐曲、伴奏,致谢:《曲谱查询网》衷心感谢作者老师馈赠原版歌谱!MP3试听:http://5sing.kugou.com/yc/2173217.html《有一个梦想真好》文本歌词有一...
377 有一个梦想真好 王东明 张艺军 叶俊华本文分享来自 他山石 的歌谱 浪者悲歌,词/曲 雨中凝望 易垚泓涛,演唱 …欢迎免费下载浪者悲歌乐谱、乐曲、伴奏,...
452 浪者悲歌 雨中凝望 易垚泓涛本文展示由谱友绿水青山记谱的歌谱 Dreamer,词/曲 黎乔筑 ,演唱 范琳琳…欢迎免费试听Dreamer乐曲,下载歌曲的乐谱与伴奏。...
869 Dreamer 黎乔筑 范琳琳本文分享来自 交流 的歌谱 全世界人民一定胜利(小提琴八度及双音练习曲),词/曲 战地新歌 杨会林编曲,演唱 钱胜演奏…欢迎免费下载全世界人民一定胜利(小提琴八度及双音练习曲)乐谱、乐曲、伴奏,...
658 全世界人民一定胜利 战地新歌 杨会林编曲 钱胜演奏本文分享来自 铜管wxy 的歌谱 莫扎特-夜之女王的咏叹调(铜管五重奏),词/曲 莫扎特,演唱 …欢迎免费下载莫扎特-夜之女王的咏叹调(铜管五重奏)乐谱、乐曲、伴奏,沃尔夫冈·阿玛多伊斯·莫扎特(1756-1791),著名作曲家。“夜之女王的咏叹调”,选自歌剧《魔笛》。被认为是世界上最难唱的花腔女...
251 莫扎特-夜之女王的咏叹调 莫扎特| 留言与评论(共有 0 条评论) |
