


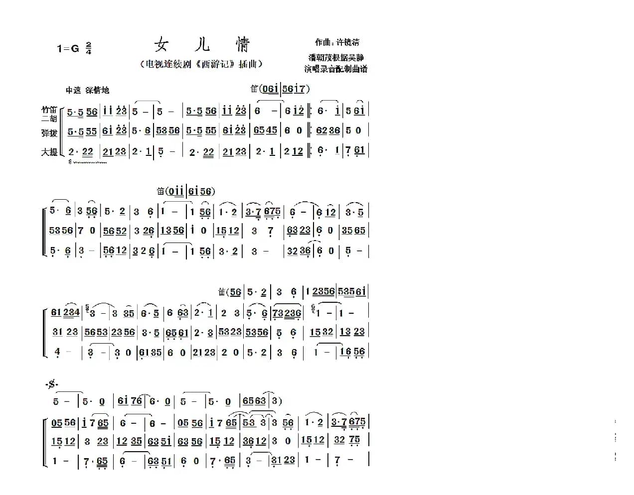
女儿情_歌谱投稿_词曲: 许镜清简谱歌词是曲谱查询网于2023年04月13日 22:50:01更新在曲谱投稿频道中的内容,收录在曲谱投稿栏目中;曲谱查询网分享的女儿情_歌谱投稿_词曲: 许镜清简谱五线谱高清图片,欢迎在线免费下载;曲谱查询网无需注册,即可直接下载海量歌曲谱与乐器学习相关资料。
曲谱查询网收录古今中外海量歌曲谱,如歌曲简谱、乐曲五线谱、PDF乐谱、戏曲谱、器乐相关资源下载等,欢迎查阅!



女儿情_歌谱投稿_词曲: 许镜清简谱歌词是曲谱查询网于2023年04月13日 22:50:01更新在曲谱投稿频道中的内容,收录在曲谱投稿栏目中;曲谱查询网分享的女儿情_歌谱投稿_词曲: 许镜清简谱五线谱高清图片,欢迎在线免费下载;曲谱查询网无需注册,即可直接下载海量歌曲谱与乐器学习相关资料。
本文分享来自 古绛郎中 的歌谱 年年岁岁一首歌 汤飞 李茜(电视剧《岁岁年年柿柿红》片头曲),词/曲 尚飞林 陶龙,演唱 汤飞 李茜…欢迎免费下载年年岁岁一首歌 汤飞 李茜(电视剧《岁岁年年柿柿红》片头曲)乐谱、乐曲、伴奏,...
985 尚飞林 陶龙本文展示由秋叶起舞 记谱上传记谱的歌谱 大漠情(晨光词 乌兰托嘎曲),词/曲 晨光 乌兰托嘎,演唱 齐峰…欢迎免费试听大漠情(晨光词 乌兰托嘎曲)乐曲,下载歌曲的乐谱与伴奏。《大漠情》文本歌词库布其啊库布其你有大漠的神奇啊神奇库布其啊库布其你有大漠的美丽美丽七星湖水在我心中荡漾大漠春光在我梦中传唱库...
4 大漠情 晨光 乌兰托嘎齐峰本文分享来自 毓新 的歌谱 又唱为了谁 ,词/曲 唐老桠 吴壮贵,演唱 杨西音子…欢迎免费下载又唱为了谁 乐谱、乐曲、伴奏,《又唱为了谁 》文本歌词二十二年前我们曾相会 泥巴裹满裤腿汗水湿透衣背 奋不顾身抗洪魔 流血流汗不流泪 流血流汗不流泪 你是谁?为...
280 又唱为了谁 唐老桠 吴壮贵 杨西音子本文展示由剑文音乐工作室记谱的歌谱 像星星 像月亮,词/曲 孙祥 楼勤,演唱 …欢迎免费试听像星星 像月亮乐曲,下载歌曲的乐谱与伴奏。...
537 孙祥 楼勤本文分享来自 焦响 制谱 的歌谱 妹妹爱上庄稼汉,词/曲 贺灵安 冯海龙,演唱 凤凤…欢迎免费下载妹妹爱上庄稼汉乐谱、乐曲、伴奏,...
325 妹妹爱上庄稼汉 贺灵安 冯海龙 凤凤本文分享来自 水鑫 的歌谱 为你而痛,词/曲 韩东 韩东,演唱 岳思思…欢迎免费下载为你而痛乐谱、乐曲、伴奏,《为你而痛》文本歌词为你而痛 词:韩东 曲:韩东 演唱:岳思思给了你全部的感情还要问自己怕自己爱的不够小心会伤害了你我多想依偎在你身旁听你把歌唱你的爱有无数个翅膀你早已去流浪看着...
758 为你而痛 韩东 岳思思本文分享来自 山里村夫hzm 的歌谱 过年了(胡泽民词 张艺军曲),词/曲 胡泽民 张艺军,演唱 …欢迎免费下载过年了(胡泽民词 张艺军曲)乐谱、乐曲、伴奏,...
287 过年了 胡泽民 张艺军本文分享来自 天问地李 的歌谱 问(粤语歌曲、区志华词曲),词/曲 区志华 区志华,演唱 张学友 关淑怡…欢迎免费下载问(粤语歌曲、区志华词曲)乐谱、乐曲、伴奏,《问》文本歌词(女)问那星点解要照耀,千秋也未疲倦,为怕海漆黑里寂寞,星光给慰藉半点。(男)问那海点解要拍岸,千秋也未停断,为怕山孤单与寂...
897 问 区志华本文展示由秋叶起舞 记谱上传记谱的歌谱 牵动世界的目光,词/曲 友殿 友殿,演唱 常思思、友殿…欢迎免费试听牵动世界的目光乐曲,下载歌曲的乐谱与伴奏。为山东省德州市太阳城所作MP3试听:http://5sing.kugou.com/yc/367318.html《牵动世界的目光》文本歌词牵动世界的目...
868 牵动世界的目光 友殿 常思思本文展示由桃李醉春风记谱记谱的歌谱 爱上你(顾峰词 顾峰曲),词/曲 顾峰 顾峰,演唱 斯琴高丽…欢迎免费试听爱上你(顾峰词 顾峰曲)乐曲,下载歌曲的乐谱与伴奏。...
759 爱上你 顾峰 顾峰斯琴高丽本文分享来自 君羊 的歌谱 开门见喜(李守俊词曲),词/曲 李守俊 李守俊,演唱 高安…欢迎免费下载开门见喜(李守俊词曲)乐谱、乐曲、伴奏,...
183 开门见喜 李守俊 高安| 留言与评论(共有 0 条评论) |
