
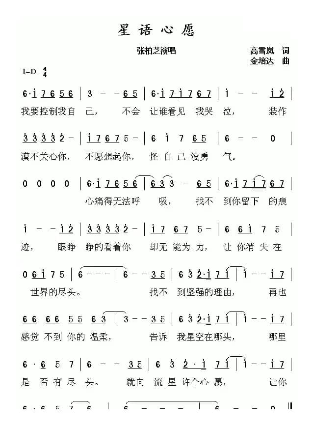
星语星愿_歌谱投稿_词曲:高雪岚 金培达简谱歌词是曲谱查询网于2023年04月15日 11:02:06更新在曲谱投稿频道中的内容,收录在曲谱投稿栏目中;曲谱查询网分享的星语星愿_歌谱投稿_词曲:高雪岚 金培达简谱五线谱高清图片,欢迎在线免费下载;曲谱查询网无需注册,即可直接下载海量歌曲谱与乐器学习相关资料。
曲谱查询网收录古今中外海量歌曲谱,如歌曲简谱、乐曲五线谱、PDF乐谱、戏曲谱、器乐相关资源下载等,欢迎查阅!

星语星愿_歌谱投稿_词曲:高雪岚 金培达简谱歌词是曲谱查询网于2023年04月15日 11:02:06更新在曲谱投稿频道中的内容,收录在曲谱投稿栏目中;曲谱查询网分享的星语星愿_歌谱投稿_词曲:高雪岚 金培达简谱五线谱高清图片,欢迎在线免费下载;曲谱查询网无需注册,即可直接下载海量歌曲谱与乐器学习相关资料。
本文展示由原创作品记谱的歌谱 摆呀摆(谢维耕词 聂思聪曲),词/曲 谢维耕 聂思聪,演唱 …欢迎免费试听摆呀摆(谢维耕词 聂思聪曲)乐曲,下载歌曲的乐谱与伴奏。...
906 摆呀摆 谢维耕 聂思聪本文分享来自 神仙姐姐 的歌谱 寂寞的海,词/曲 蔡培国 风无心,演唱 于洋…欢迎免费下载寂寞的海乐谱、乐曲、伴奏,...
998 寂寞的海 蔡培国 风无心 于洋本文分享来自 崔工2 的歌谱 《临江仙.说秦汉》(电视剧《三国演义》主题曲),词/曲 杨慎 谷建芬,演唱 杨洪基…欢迎免费下载《临江仙.说秦汉》(电视剧《三国演义》主题曲)乐谱、乐曲、伴奏,...
708 临江仙说秦汉 杨慎 谷建芬 杨洪基本文分享来自 陈尊学 的歌谱 相约在月圆时节,词/曲 关峡 任志萍,演唱 …欢迎免费下载相约在月圆时节乐谱、乐曲、伴奏,...
216 相约在月圆时节 关峡 任志萍本文分享来自 渊源溯津 的歌谱 我们不一样,词/曲 高进 张亮,演唱 大壮…欢迎免费下载我们不一样乐谱、乐曲、伴奏,...
255 我们不一样 高进 张亮 大壮本文展示由谱友叶金剑上传记谱的歌谱 把爱留住(张世楷词 徐雁曲),词/曲 张世楷 徐雁,演唱 …欢迎免费试听把爱留住(张世楷词 徐雁曲)乐曲,下载歌曲的乐谱与伴奏。...
685 把爱留住 张世楷 徐雁本文分享来自 燕子 的歌谱 这里是滇池(蒋燕 词曲),词/曲 蒋燕,词 蒋燕 曲,演唱 …欢迎免费下载这里是滇池(蒋燕 词曲)乐谱、乐曲、伴奏,《这里是滇池》文本歌词 五百里滇池、奔来眼底, 那丘贝遗迹、是岁月留下的传奇; 有丹霞翠羽、点缀无边空阔; 有芙蓉杨柳、慰藉莫...
141 这里是滇池 蒋燕 词本文分享来自 沈建国钢琴 的歌谱 糯糯的越剧(沈建国钢琴版),词/曲 沈建国编曲,演唱 沈建国…欢迎免费下载糯糯的越剧(沈建国钢琴版)乐谱、乐曲、伴奏,根据传统越剧唱腔而改编的钢琴曲。难易程度相当于9级。...
526 糯糯的越剧 沈建国编曲 沈建国本文分享来自 雷听夏荷 的歌谱 草原的月亮(周兵词 钟云飞曲),词/曲 周兵 钟云飞,演唱 云飞…欢迎免费下载草原的月亮(周兵词 钟云飞曲)乐谱、乐曲、伴奏,...
112 草原的月亮 周兵 钟云飞 云飞本文分享来自 神仙姐姐 的歌谱 成功一定是咱的(闽南语演唱),词/曲 蔡素惠 蔡素惠,演唱 黄乙玲…欢迎免费下载成功一定是咱的(闽南语演唱)乐谱、乐曲、伴奏,...
775 成功一定是咱的 蔡素惠 黄乙玲本文展示由小雨记谱记谱的歌谱 东方情歌,词/曲 樊孝斌 印青,演唱 常思思…欢迎免费试听东方情歌乐曲,下载歌曲的乐谱与伴奏。谱友论坛上传了全套资料:...
676 东方情歌 樊孝斌 印青 常思思本文分享来自 琴音无邪 的歌谱 美丽的神话(乐队总谱),词/曲 王中言 崔俊荣,演唱 成龙、金喜善…欢迎免费下载美丽的神话(乐队总谱)乐谱、乐曲、伴奏,...
639 美丽的神话 王中言 崔俊荣本文展示由爱乐 制谱上传记谱的歌谱 春风暖在战士心(线简谱混排版),词/曲 张建新 绕荣发,演唱 王鹏、伊泓远…欢迎免费试听春风暖在战士心(线简谱混排版)乐曲,下载歌曲的乐谱与伴奏。...
916 春风暖在战士心 张建新 绕荣发王鹏 伊泓远本文分享来自 中国文明网 的歌谱 美丽中国梦(李长平词 印青曲),词/曲 李长平 印青,演唱 汪正正 郑咏…欢迎免费下载美丽中国梦(李长平词 印青曲)乐谱、乐曲、伴奏,...
31 美丽中国梦 李长平 印青| 留言与评论(共有 0 条评论) |
