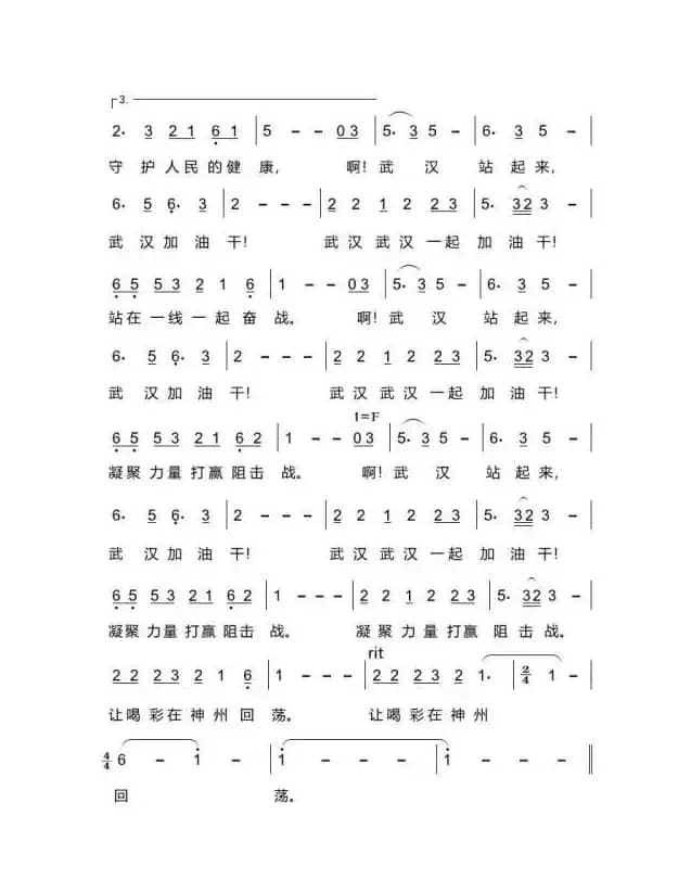
名称:武汉 加油干
艺术家:黄华 黄春园
国家:中国
作词:黄立祥
作曲:黄立祥 黄华
演唱:黄华 黄春园
分类:曲谱
子类:投稿
类型:简谱/五线谱
文件格式:jpg


《武汉 加油干》文本歌词
武汉 加油干
作词:黄立祥
作曲:黄立祥 黄华
演唱:黄华 黄春园
编曲:樊茂生
录音混音:樊茂生 潘英俊
和声:陆田甜 吴明杰 班鑫 黄兰婷
视频:黄焕彩
吉他:梁伟
你也想春暖花绽放
陪伴家人共度团圆美满
不曾想病魔摧残
死神猖狂地进犯
怎能让亲人遭受深重的苦难
你家乡名字也一样
一样刚强英雄辈出依然
让黄鹤沾笔长江
挥毫彩虹般桥梁
让大爱抹去痛彻心扉的创伤
啊!武汉站起来
武汉加油干
武汉 武汉一起加油干
站在一线一起奋战
口罩上美丽的眼睛
白衣天使还在亲切凝望
大地上祖国召唤
勇士前行千千万
不惜用生命守护人民的健康
啊!武汉站起来
武汉加油干
武汉 武汉一起加油干
站在一线一起奋战
啊!武汉站起来
武汉加油干
武汉 武汉一起加油干
凝聚力量打赢阻击战
啊!武汉站起来
武汉加油干
武汉 武汉一起加油干
凝聚力量打赢阻击战
凝聚力量打赢阻击战
让喝彩在神州回荡
让喝彩在神州回荡












