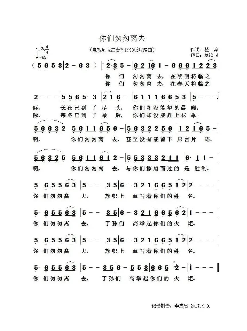
名称:你们匆匆离去 电视剧 红岩 片尾曲
艺术家:王莹
国家:中国
作词:瞿琮
作曲:章绍同
演唱:王莹
分类:曲谱
子类:投稿
类型:简谱/五线谱
文件格式:jpg

《你们匆匆离去》文本歌词
你们匆匆离去
词:瞿琮 曲:章绍同
你们匆匆离去
在黎明将临之际
长夜已到了尽头
你们却没能望见晨曦
你们匆匆离去
在春天将临之际
寒冬已到了最后
你们却没能赶上花季
啊,你们匆匆离去
甚至没有能留下只言片语
啊,你们匆匆离去
与你们擦肩而过的是胜利
你们匆匆离去
旗帜上血写着你们的姓名
你们匆匆离去
子孙们高举起你们的火炬
你们匆匆离去
子孙们高举起你们的火炬











