
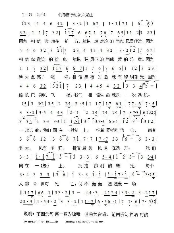
海狼行动_歌谱投稿_词曲:简谱歌词是曲谱查询网于2023年05月01日 03:09:03更新在曲谱投稿频道中的内容,收录在曲谱投稿栏目中;曲谱查询网分享的海狼行动_歌谱投稿_词曲:简谱五线谱高清图片,欢迎在线免费下载;曲谱查询网无需注册,即可直接下载海量歌曲谱与乐器学习相关资料。
曲谱查询网收录古今中外海量歌曲谱,如歌曲简谱、乐曲五线谱、PDF乐谱、戏曲谱、器乐相关资源下载等,欢迎查阅!

海狼行动_歌谱投稿_词曲:简谱歌词是曲谱查询网于2023年05月01日 03:09:03更新在曲谱投稿频道中的内容,收录在曲谱投稿栏目中;曲谱查询网分享的海狼行动_歌谱投稿_词曲:简谱五线谱高清图片,欢迎在线免费下载;曲谱查询网无需注册,即可直接下载海量歌曲谱与乐器学习相关资料。
本文展示由谱友瓦莲金娜 转发记谱的歌谱 卡秋莎火箭炮(前苏联),词/曲 ,演唱 …欢迎免费试听卡秋莎火箭炮(前苏联)乐曲,下载歌曲的乐谱与伴奏。...
200 卡秋莎火箭炮本文展示由桃李醉春风记谱记谱的歌谱 江南伤,词/曲 佚名 佚名,演唱 Winky诗…欢迎免费试听江南伤乐曲,下载歌曲的乐谱与伴奏。...
759 江南伤 佚名 佚名Winky诗本文展示由桃李醉春风记谱记谱的歌谱 犯贱,词/曲 徐良 ,演唱 徐良、阿悄…欢迎免费试听犯贱乐曲,下载歌曲的乐谱与伴奏。歌曲试听:http://www.chaodikong.com/article/2011/0202/article_10648.html...
311 犯贱 徐良徐良 阿悄本文展示由桃李醉春风记谱记谱的歌谱 梦已残,词/曲 吴清华 吴清华 陈伟,演唱 梦然…欢迎免费试听梦已残乐曲,下载歌曲的乐谱与伴奏。...
657 梦已残 吴清华本文分享来自 秋叶起舞 的歌谱 丈夫辛苦了,词/曲 车行、张兴中 尹铁良、陈树,演唱 于文华…欢迎免费下载丈夫辛苦了乐谱、乐曲、伴奏,《丈夫辛苦了》文本歌词丈夫辛苦了词:车 行 张兴中 曲:尹铁良 陈 树没事的时候不觉的啥有了事没你还真抓瞎要说过日子你才是主心骨你东奔西忙支撑起家有些...
477 丈夫辛苦了 于文华本文分享来自 刘勇28 的歌谱 《小康村庄》(二人转)(《为人民服务组歌》之十一),词/曲 许会锋 刘 勇,演唱 …欢迎免费下载《小康村庄》(二人转)(《为人民服务组歌》之十一)乐谱、乐曲、伴奏,《小康村庄》是曲作者刘勇在中国共产党百年华诞之际,创作的《为人民服务组歌》的第四乐章《歌唱新农村》第二...
102 小康村庄 许会锋本文分享来自 丑歌srm 的歌谱 草莓飘香(网络原创),词/曲 戴本常 施仁明,演唱 JS掬水留香…欢迎免费下载草莓飘香(网络原创)乐谱、乐曲、伴奏,草莓上市的季节欢迎品尝……MP3试听:http://5sing.kugou.com/yc/3871361.html...
1002 草莓飘香 戴本常 施仁明 JS掬水留香本文展示由秋叶起舞 记谱上传记谱的歌谱 妈妈您放心,词/曲 史建茂 史建茂,演唱 王文辉…欢迎免费试听妈妈您放心乐曲,下载歌曲的乐谱与伴奏。试听地址:http://yc.5sing.com/701177.html歌词:《妈妈您放心》作词 史建茂 作曲 史建茂这里路途远,这里大漠深,妈妈呀你别难过不...
790 妈妈您放心 史建茂 史建茂王文辉本文展示由E网音乐教室记谱的歌谱 想念你(姜玉阳词曲),词/曲 姜玉阳 姜玉阳,演唱 南宫嘉骏…欢迎免费试听想念你(姜玉阳词曲)乐曲,下载歌曲的乐谱与伴奏。原谱试听:http://www.chaodikong.com/article/2012/0326/article_22235.html...
414 想念你 姜玉阳 姜玉阳南宫嘉骏本文分享来自 阳光8268 的歌谱 我是你的格桑花,词/曲 王琪 王琪,演唱 宝欣儿…欢迎免费下载我是你的格桑花乐谱、乐曲、伴奏,...
607 我是你的格桑花 王琪 宝欣儿本文展示由桃李醉春风记谱记谱的歌谱 牵不到你的手(徽风词 lin lin曲),词/曲 徽风 lin lin,演唱 晓月…欢迎免费试听牵不到你的手(徽风词 lin lin曲)乐曲,下载歌曲的乐谱与伴奏。...
523 牵不到你的手 徽风 晓月本文分享来自 丁恩昌 的歌谱 庆国庆(信裕熹丁恩昌词张延道曲),词/曲 信裕熹丁恩昌 张延道,演唱 …欢迎免费下载庆国庆(信裕熹丁恩昌词张延道曲)乐谱、乐曲、伴奏,...
393 庆国庆 信裕熹丁恩昌 张延道本文展示由sunzp抄谱记谱的歌谱 手足情,词/曲 程育 朱德荣,演唱 程琳、程育…欢迎免费试听手足情乐曲,下载歌曲的乐谱与伴奏。...
970 手足情 程育 朱德荣程琳| 留言与评论(共有 0 条评论) |
