
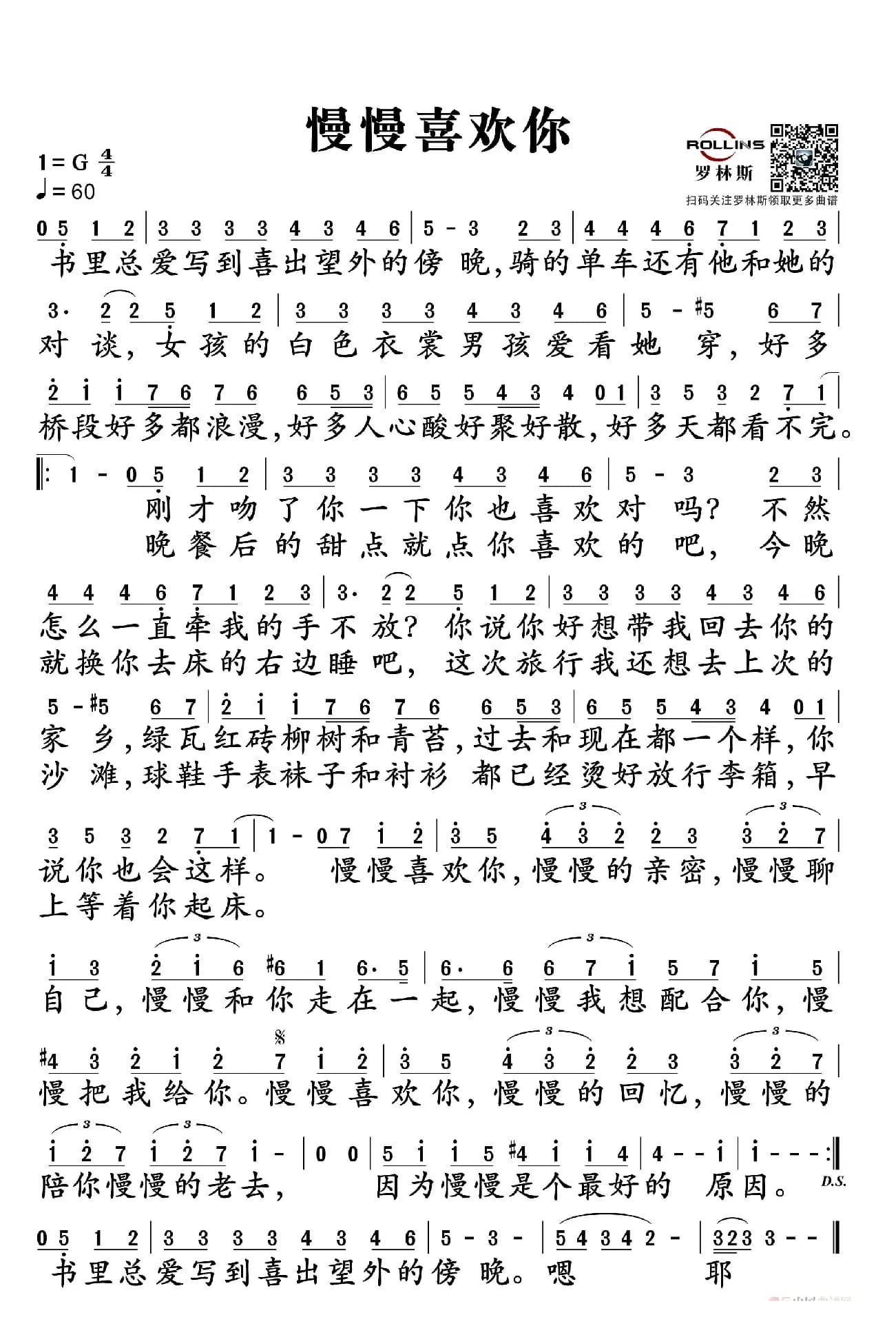
慢慢喜欢你_通俗唱法乐谱_词曲:李荣浩 李荣浩简谱歌词是曲谱查询网于2023年06月01日 06:06:13更新在通俗歌曲谱频道中的内容,收录在通俗歌曲谱栏目中;曲谱查询网分享的慢慢喜欢你_通俗唱法乐谱_词曲:李荣浩 李荣浩简谱五线谱高清图片,欢迎在线免费下载;曲谱查询网无需注册,即可直接下载海量歌曲谱与乐器学习相关资料。
曲谱查询网收录古今中外海量歌曲谱,如歌曲简谱、乐曲五线谱、PDF乐谱、戏曲谱、器乐相关资源下载等,欢迎查阅!

慢慢喜欢你_通俗唱法乐谱_词曲:李荣浩 李荣浩简谱歌词是曲谱查询网于2023年06月01日 06:06:13更新在通俗歌曲谱频道中的内容,收录在通俗歌曲谱栏目中;曲谱查询网分享的慢慢喜欢你_通俗唱法乐谱_词曲:李荣浩 李荣浩简谱五线谱高清图片,欢迎在线免费下载;曲谱查询网无需注册,即可直接下载海量歌曲谱与乐器学习相关资料。
本篇为您分享通俗唱法曲谱 广场舞(陈少杰词 简荣彬曲),由陈少杰 简荣彬 词/曲, 演唱,小当家 编辑整理…...
1405 通俗唱法歌谱 广场舞 陈少杰 简荣彬本篇为您分享通俗唱法曲谱 风雪中的彩蝶,由程书林 清江浩哥 词/曲, 演唱,小帅 编辑整理…《风雪中的彩蝶》文本歌词风雪中的彩蝶作词;程书林 作曲;清江浩哥风雨中夹杂的大雪, 看起来多么的壮烈二十四个小时, 不分白天黑夜古老太破败的老街,有种梦回唐朝般的感觉只要提起笔, 让时间来书写尤其是,我...
964 通俗唱法歌谱 风雪中的彩蝶 程书林 清江浩哥本篇为您分享通俗唱法曲谱 有个女孩等着你(电视剧《马骝过海》插曲),由 词/曲,邓丽君 演唱,西西 编辑整理…...
1045 通俗唱法歌谱 有个女孩等着你 邓丽君本篇为您分享通俗唱法曲谱 中国笔头(为太钢研发人员点赞),由清闲人 清闲人 词/曲, 演唱,benjamin 编辑整理…《中国笔头》文本歌词中国笔头——为太钢研发人员点赞一枝小小的圆珠笔,笔头上包含着高科技,核心技术一直在外国人手里,制笔大国的笔头却是进口的。咱们的太钢人真有点了不起,历经五年苦钻研...
131 通俗唱法歌谱 中国笔头 清闲人本篇为您分享通俗唱法曲谱 飞翔的爱(又名:小小蒲公英),由悬石松 柴欣 词/曲, 演唱,大勇 编辑整理…《飞翔的爱》文本歌词纵然生长在贫瘠的土地上,心灵却一样的高雅洁白纵然一生总是过的很平凡心中却是一样的情深似海弱小身躯不怕风雨的锤炼因为有一样的不屈顽强,相信有一天能飞翔在天地之间因为拥有一样的梦想...
754 通俗唱法歌谱 飞翔的爱 悬石松 柴欣| 留言与评论(共有 0 条评论) |
