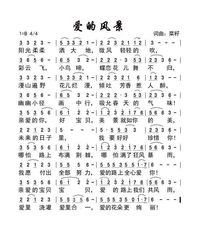
名称:爱的风景
艺术家:后来者
国家:中国
作词:菜籽
作曲:菜籽
演唱:后来者
分类:声乐谱
子类:通俗唱法歌谱
类型:简谱/五线谱
文件格式:jpg

《爱的风景》文本歌词
爱的风景aidefengjing
演唱:后来者 编曲:传 悦 词曲:菜 籽 混合:郑 风 发行:酝星文化
阳光柔柔洒大地 微风轻轻的吹
彩云飞 小鸟啼 蝶恋花儿舞不归
漫山遍野花儿烂漫
倾吐芳香惹人醉
幽幽小径画中行 吸允春天的气息
亲爱的你 好宝贝 美景就如你的美
未来的 日子里 我要好好珍惜你
哪怕路上布满荆棘 哪怕满了狂风暴雨
我愿付出全部努力 爱的路上全心爱你
亲爱的 亲爱宝贝 爱的路上我们共风雨
爱里浇灌爱里合一 爱的花朵更绚丽












