
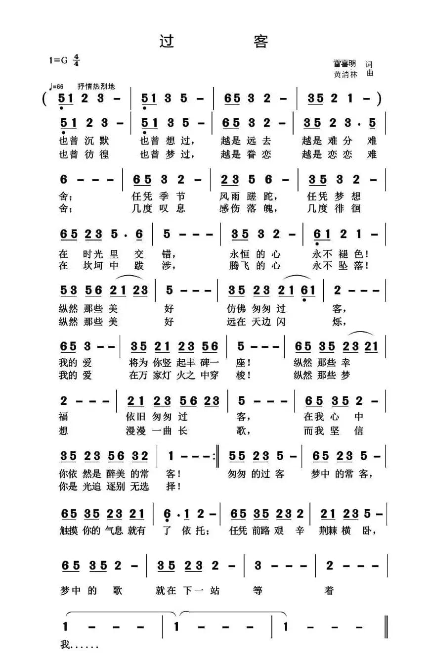
过客_通俗唱法乐谱_词曲:雷喜明 黄清林简谱歌词是曲谱查询网于2023年06月03日 03:23:55更新在通俗歌曲谱频道中的内容,收录在通俗歌曲谱栏目中;曲谱查询网分享的过客_通俗唱法乐谱_词曲:雷喜明 黄清林简谱五线谱高清图片,欢迎在线免费下载;曲谱查询网无需注册,即可直接下载海量歌曲谱与乐器学习相关资料。
曲谱查询网收录古今中外海量歌曲谱,如歌曲简谱、乐曲五线谱、PDF乐谱、戏曲谱、器乐相关资源下载等,欢迎查阅!

过客_通俗唱法乐谱_词曲:雷喜明 黄清林简谱歌词是曲谱查询网于2023年06月03日 03:23:55更新在通俗歌曲谱频道中的内容,收录在通俗歌曲谱栏目中;曲谱查询网分享的过客_通俗唱法乐谱_词曲:雷喜明 黄清林简谱五线谱高清图片,欢迎在线免费下载;曲谱查询网无需注册,即可直接下载海量歌曲谱与乐器学习相关资料。
本篇为您分享通俗唱法曲谱 心中有梦(徐贞明词 胡玉昌曲),由徐贞明 胡玉昌 词/曲, 演唱,杭杭 编辑整理…...
518 通俗唱法歌谱 心中有梦 徐贞明 胡玉昌本篇为您分享通俗唱法曲谱 爱情海(方文山词 Joe chong曲),由方文山 Joe chong 词/曲,李玟 演唱,苹果 编辑整理…...
1850 通俗唱法歌谱 爱情海 方文山 李玟本篇为您分享通俗唱法曲谱 爱之路,由夏荷 阿汝汗 词/曲, 演唱,菠萝 编辑整理…致谢:《曲谱查询网》衷心感谢作者老师馈赠原谱!...
667 通俗唱法歌谱 爱之路 夏荷 阿汝汗本篇为您分享通俗唱法曲谱 阳光的味道(手辰词 方翔曲),由手辰 方翔 词/曲, 演唱,samuel 编辑整理…...
327 通俗唱法歌谱 阳光的味道 手辰 方翔本篇为您分享通俗唱法曲谱 平安夜不爱圣诞节,由王海龙 依晓明 词/曲, 演唱,非非 编辑整理…...
620 通俗唱法歌谱 平安夜不爱圣诞节 王海龙 依晓明本篇为您分享通俗唱法曲谱 梦的告白,由陈佩瑜 黄邦明 词/曲, 演唱,木耳 编辑整理…《梦的告白》文本歌词梦的告白静静地柔柔地我从梦中向你走来在梦里跨越时空的大海轻轻地细细地我在梦中向你呼唤串串音符为我轻唱思念的歌漫漫的长夜让我靠在你身旁别叫我在梦里孤单只有你的身影左右我的视线才能引我随你浪迹天涯浪...
1095 通俗唱法歌谱 梦的告白 陈佩瑜 黄邦明本篇为您分享通俗唱法曲谱 打工者之歌(电影《特区打工妹》主题曲)(王静珠词 李跃飞曲),由 词/曲, 演唱,涯涯 编辑整理…...
1879 通俗唱法歌谱 打工者之歌本篇为您分享通俗唱法曲谱 江南(李瑞洵词 林俊杰曲、编配乐谱),由李瑞洵 林俊杰 词/曲,林俊杰 演唱,荔枝 编辑整理…...
460 通俗唱法歌谱 江南 李瑞洵 林俊杰本篇为您分享通俗唱法曲谱 说好的幸福呢,由方文山 周杰伦 词/曲,周杰伦 演唱,小金 编辑整理…...
1819 通俗唱法歌谱 说好的幸福呢 方文山 周杰伦| 留言与评论(共有 0 条评论) |
