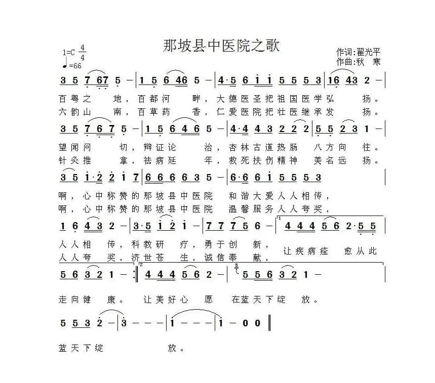
名称:那坡县中医院之歌 翟光平词 秋寒曲
国家:中国
作词:翟光平
作曲:秋寒
分类:声乐谱
子类:通俗唱法歌谱
类型:简谱/五线谱
文件格式:jpg

《那坡县中医院之歌》文本歌词
那坡县中医院之歌
作词:翟光平
百粤之地,百都河畔,
大德医圣把祖国医学弘扬。
望闻问切,辩证论治,
杏林古道热肠八方向往。
啊,心中称赞的那坡县中医院
和谐大爱人人相传,
科教研疗,勇于创新,
让疾病痊愈从此走向健康。
六韵山南,百草药香,
仁爱医院把壮医继承发扬。
针灸推拿,祛病延年,
救死扶伤精神美名远扬。
啊,心中赞美的那坡县中医院
温馨服务人人夸奖,
济世苍生,诚信奉献,
让美好心愿在蓝天下绽放。












