
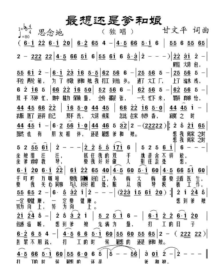
最想还是爹和娘_通俗唱法乐谱_词曲:甘文平 甘文平简谱歌词是曲谱查询网于2023年06月04日 15:44:47更新在通俗歌曲谱频道中的内容,收录在通俗歌曲谱栏目中;曲谱查询网分享的最想还是爹和娘_通俗唱法乐谱_词曲:甘文平 甘文平简谱五线谱高清图片,欢迎在线免费下载;曲谱查询网无需注册,即可直接下载海量歌曲谱与乐器学习相关资料。
曲谱查询网收录古今中外海量歌曲谱,如歌曲简谱、乐曲五线谱、PDF乐谱、戏曲谱、器乐相关资源下载等,欢迎查阅!

最想还是爹和娘_通俗唱法乐谱_词曲:甘文平 甘文平简谱歌词是曲谱查询网于2023年06月04日 15:44:47更新在通俗歌曲谱频道中的内容,收录在通俗歌曲谱栏目中;曲谱查询网分享的最想还是爹和娘_通俗唱法乐谱_词曲:甘文平 甘文平简谱五线谱高清图片,欢迎在线免费下载;曲谱查询网无需注册,即可直接下载海量歌曲谱与乐器学习相关资料。
本篇为您分享通俗唱法曲谱 美丽的星空,由明思红 天子俊 词/曲, 演唱,球球 编辑整理…《美丽的星空》文本歌词美丽的星空作曲:天子俊作词:明思红演唱:山子華天子俊音乐工作室监制出品抬头仰望星空默默思念远方的你满天星空闪烁的夜晚去寻找那颗明亮的星星抬头仰望星空远处有颗星在闪烁那是你在...
1876 通俗唱法歌谱 美丽的星空 明思红 天子俊本篇为您分享通俗唱法曲谱 边关情(倪永盛词 王敏曲),由倪永盛 王敏 词/曲, 演唱,Edinburgh° 编辑整理…...
1632 通俗唱法歌谱 边关情 倪永盛 王敏本篇为您分享通俗唱法曲谱 有爱更精彩(周鲁词 周鲁 李继东曲),由周鲁 周鲁 李继东 词/曲, 演唱,悦悦 编辑整理…...
939 通俗唱法歌谱 有爱更精彩 周鲁本篇为您分享通俗唱法曲谱 时间宝贵,由 巴秀拉 词/曲, 演唱,程程 编辑整理…《时间宝贵》作者写这首歌,是提醒自己和他人,浪费时间,就是浪费生命!岁月如流水,一去不复返,“少壮不努力,老大徒伤悲!” 时间是生命,时间是财富!时间能体现人生的价值。利用宝贵的时间,在人生旅途中,做更多有意义、有价值的...
320 通俗唱法歌谱 时间宝贵 巴秀拉本篇为您分享通俗唱法曲谱 你是我的唯一(巴秀拉 词曲),由巴秀拉 巴秀拉 词/曲, 演唱,曦曦 编辑整理…《你是我的唯一》知己难寻, 真爱难觅 ,得到要珍惜,真心呵护才能长久 !古诗曰「溺水三千,只取一瓢」、「 曾经沧海难为水,除却巫山不是云」 是说爱的唯一,爱的执着,爱的真诚 。但愿人间,桃花流水...
29 通俗唱法歌谱 你是我的唯一 巴秀拉本篇为您分享通俗唱法曲谱 无声的痛(电视剧《新结婚时代》主题歌),由侃侃 章绍同 词/曲, 演唱,阿长 编辑整理…《无声的痛》文本歌词《新结婚时代》主题歌《无声的痛》作曲:章绍同作词:侃侃演唱:王莉 习惯了和你在一起习惯了听你的呼吸你说过我们之间永远只有一回首的距离 距离那一季孤独的天空连鸟儿都走的...
1734 通俗唱法歌谱 无声的痛 侃侃 章绍同本篇为您分享通俗唱法曲谱 爱的执着,由徐世珍 甘可夫 词/曲, 演唱,小岚岚 编辑整理…《爱的执着》文本歌词《爱的执着》作 词:徐 世 珍作 曲:甘 可 夫不知道什么时候,已吹起了北风,就这样在冷冷的夜,习惯了寂寞。不在乎你懂不懂,我沉默的守候,想对一个人温柔,并不需要理由。空出我的怀抱,随时都为你...
650 通俗唱法歌谱 爱的执着 徐世珍 甘可夫本篇为您分享通俗唱法曲谱 唱支老情歌,由张东豫 张新合 词/曲, 演唱,妙妙 编辑整理…《唱支老情歌》文本歌词唱支老情歌作词:张东豫作曲:张新合编曲:于洋混音:陈波拿起麦克风唱支老情歌歌里有情趣流淌象小河歌里有插曲谁来唱和拿起麦克风唱支老情歌歌里有爱情难以割舍歌里有倩影难以捉摸追过叹过吻过恨过在这红...
410 通俗唱法歌谱 唱支老情歌 张东豫 张新合| 留言与评论(共有 0 条评论) |
