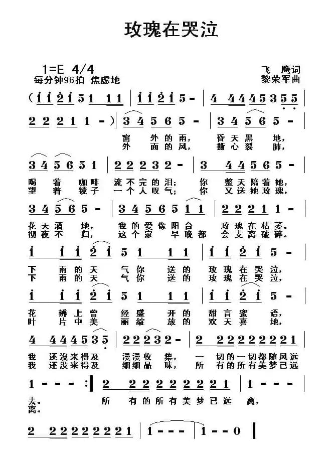
名称:玫瑰在哭泣
国家:中国
作词:飞鹰
作曲:黎荣军
分类:声乐谱
子类:通俗唱法歌谱
类型:简谱/五线谱
文件格式:jpg

《玫瑰在哭泣》文本歌词
窗外的雨.昏天黑地
喝着咖啡.流不完的泪
你整天陪着她.花天酒地
我的爱.像阳台玫瑰在枯萎
外面的风.撕心裂肺
望着镜子.一个人叹气
你又送她玫瑰.彻夜不归
这个家.早晚都会支离破碎
下雨的天气.你送的玫瑰在哭泣
花辨上.曾经盛开的甜言蜜语
我还沒来得及.漫漫收集
一切的一切.都随风远去
下雨的天气.你送的玫瑰在哭泣
叶片中.美丽綻放的欢天喜地
我还没来得及.细细品味
所有的所有.美梦已远离












